Capítulo 2: La Ruina del Jugador – El fin del mito de la «mala suerte»
En el capítulo anterior descubrimos con el Criterio de Kelly que podíamos ser más agresivos si las matemáticas nos respaldaban. Pero hoy toca hablar de la otra cara de la moneda.
¿Alguna vez has sentido que el mercado «te persigue»? ¿Que después de cinco pérdidas seguidas, la sexta tiene que ser ganadora por pura justicia divina? Si es así, bienvenido al club de los humanos… y a la trampa mortal de la Ruina del Jugador.
1. La racha de pérdidas: No es mala suerte, es inevitable
Muchos traders abandonan sus sistemas cuando encadenan 6 o 7 pérdidas seguidas, pensando que el sistema «se ha roto». Sin embargo, si tienes un Win Rate del 50%, la probabilidad estadística de tener 10 pérdidas consecutivas en una serie de 1.000 operaciones es casi del 100%.
El problema no es la racha, es que el trader promedio no tiene el capital (o el estómago) para sobrevivir a esa racha.
2. La falacia del apostador y la pendiente resbaladiza
La Ruina del Jugador (Gambler’s Ruin) es un concepto estadístico que dicta que un jugador con recursos finitos, jugando un juego de «suma cero» contra un oponente con recursos infinitos (el mercado), acabará inevitablemente en la quiebra, incluso si las probabilidades de ganar son del 50%.
¿Por qué ocurre esto? Por la asimetría del porcentaje de recuperación.
Aquí es donde entra el concepto de Drawdown (la caída desde el punto más alto de tu cuenta). Perder dinero es fácil; recuperarlo es una cuesta arriba matemática.
La Tabla del Castigo Matemático
| Pérdida de Capital (Drawdown) | Recuperación necesaria para volver al inicio |
| 10% | 11.1% |
| 20% | 25% |
| 30% | 42.9% |
| 50% | 100% |
| 75% | 300% |
| 90% | 900% |
3. Calculando tu «Punto de No Retorno»
En la gestión de fondos profesional, existe un concepto llamado Max Drawdown Tolerable. No es simplemente «lo que me duele», sino un cálculo basado en tu estrategia.
Tu punto de no retorno es el nivel de pérdida a partir del cual tu sistema, estadísticamente, ya no tiene capacidad de recuperarse antes de que tú te quedes sin capital o sin confianza.
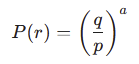
¿Cómo calcularlo? (Fórmula de la Ruina)
Existe una fórmula simplificada para calcular la Probabilidad de Ruina (P(r)):

Donde:
- p: Probabilidad de acierto.
- q: Probabilidad de fallo (1−p).
- a: Unidades de capital (cuántas «unidades de riesgo» tienes antes de llegar a cero).
Ejemplo real: Si arriesgas el 10% de tu cuenta por trade (a=10 unidades para llegar a 100) y tienes un acierto del 45%:

Parece poco, ¿verdad? Pero si bajas tu acierto al 40% (una mala racha), tu probabilidad de ruina salta al 57%. Estás jugando con fuego.
4. Cómo evitar la ruina: El Cortafuegos
Para no llegar al punto de no retorno, los quants utilizan un «Stop Loss de Cuenta».
- Define tu Nivel de Abandono: Si tu estrategia suele tener un drawdown máximo histórico del 15% en los tests, fija tu punto de no retorno en el 20% o 25%.
- Reducción Proporcional: Si pierdes el 10% de tu cuenta, reduce tu riesgo a la mitad (si arriesgabas el 1%, pasa al 0,5%). Esto «estira» tu capital y te da más tiempo para que la estadística vuelva a tu favor.
- El Factor Psicológico: El punto de no retorno suele llegar antes en tu cabeza que en tu cuenta. Si pierdes el 30%, tu capacidad de tomar decisiones objetivas desaparece.
💀 Calculadora de Ruina
Conclusión del Capítulo 2
La ruina no suele ser el resultado de un solo error catastrófico, sino de la acumulación de rachas normales que no supimos gestionar matemáticamente. La estadística no tiene sentimientos: te lanzará 10 pérdidas seguidas solo porque puede.
Tu trabajo no es evitar esas rachas, sino diseñar un plan de salida para cuando ocurran.
En el próximo capítulo: Pasaremos a la ofensiva. ¿Cómo aprovechar las rachas ganadoras? Veremos la diferencia real entre la Martingala (el camino rápido a la ruina) y el Pyramiding (el secreto de la antifragilidad).


