Este tutorial está diseñado para ofrecer una visión integral sobre cómo invertir en futuros, cubriendo desde estrategias avanzadas hasta la gestión de riesgos y la psicología del inversor. Puedes complementar este tutorial con el que ya tenemos sobre «Cómo operar con futuros desde cero» para tener un recurso completo. El presente tutorial se centrará más en la parte estratégica, de gestión y de toma de decisiones para invertir en futuros.
Sumario:
- Introducción a la Inversión en Futuros
- Estrategias Avanzadas de Inversión en Futuros
- Análisis Fundamental y Macroeconómico
- Análisis Técnico y Cuantitativo
- Gestión de Riesgos Integral
- Selección de Activos y Mercados
- Plataformas y Herramientas de Trading
- Psicología del Inversor Profesional
- Evaluación y Optimización de Estrategias
- Casos Prácticos y Estudios de Caso
- Regulación y Consideraciones Legales
- Continuación del Aprendizaje
- Conclusión
Capítulo 1: Introducción a la Inversión en Futuros
1.1. ¿Qué Son los Futuros y Cómo Funcionan?
Los futuros son contratos financieros que obligan a las partes a comprar o vender un activo subyacente en una fecha futura específica y a un precio acordado previamente. Estos activos subyacentes pueden ser commodities como petróleo, oro o trigo, o activos financieros como índices bursátiles y divisas.
El contrato de futuros especifica detalles clave, como la cantidad del activo subyacente, la calidad (en el caso de commodities), y la fecha y lugar de entrega (o liquidación). Los futuros se negocian en bolsas especializadas, como el Chicago Mercantile Exchange (CME), lo que asegura la estandarización y la mitigación de riesgos a través de la cámara de compensación.
Ejemplo de un Contrato de Futuros: Imagina que un agricultor quiere asegurar el precio de su cosecha de trigo que se cosechará en seis meses. Puede vender contratos de futuros sobre trigo hoy, fijando el precio al que venderá su cosecha en el futuro. Por otro lado, una panadería que necesita comprar trigo en seis meses puede comprar esos futuros, garantizando así el precio de su materia prima. Ambos aseguran su exposición a la volatilidad del mercado.
1.2. Diferencias entre Operar e Invertir en Futuros
Aunque operar e invertir en futuros pueden parecer términos intercambiables, tienen diferencias clave:
- Operar en Futuros: Se refiere a la actividad de comprar y vender contratos de futuros con fines especulativos o de cobertura a corto plazo. Los operadores buscan capitalizar las fluctuaciones diarias de los precios. Esta actividad requiere una supervisión constante del mercado y generalmente involucra transacciones de alta frecuencia.
- Invertir en Futuros: Implica la compra y retención de contratos de futuros como parte de una estrategia de inversión a más largo plazo. Los inversores en futuros pueden utilizar estos contratos para proteger sus carteras contra la volatilidad, diversificar sus activos, o apostar por tendencias a largo plazo en mercados específicos.
| Aspecto | Operar en Futuros | Invertir en Futuros |
|---|---|---|
| Horizonte Temporal | Corto plazo | Largo plazo |
| Frecuencia de Transacciones | Alta | Baja |
| Objetivo Principal | Especulación y cobertura a corto plazo | Diversificación y cobertura a largo plazo |
| Volatilidad y Riesgo | Alto | Moderado a alto, dependiendo de la estrategia |
1.3. Ventajas y Desventajas de Invertir en Futuros
Ventajas:
- Diversificación: Los futuros permiten a los inversores diversificar sus carteras más allá de los activos tradicionales como acciones y bonos. Al invertir en futuros de commodities o divisas, se accede a diferentes sectores del mercado.
- Apalancamiento: Una de las características más atractivas de los futuros es el apalancamiento, lo que significa que los inversores solo necesitan depositar una fracción del valor total del contrato (margen) para obtener exposición total al activo subyacente. Esto amplifica tanto las ganancias como las pérdidas potenciales.
- Cobertura: Los futuros son herramientas efectivas para protegerse contra la volatilidad de precios. Por ejemplo, un inversor que posee acciones puede utilizar futuros sobre índices para mitigar el riesgo de una caída en el mercado bursátil.
- Acceso a Mercados Globales: Los futuros permiten a los inversores acceder a mercados globales y aprovechar oportunidades en diversas economías y sectores.
Desventajas:
- Riesgo de Pérdidas Amplificadas: Debido al apalancamiento, las pérdidas pueden ser significativamente mayores que la inversión inicial si el mercado se mueve en contra de la posición del inversor.
- Complejidad: Invertir en futuros requiere un conocimiento profundo de los mercados subyacentes y de las dinámicas del contrato. La curva de aprendizaje puede ser pronunciada para los nuevos inversores.
- Volatilidad: Aunque la volatilidad puede ser una ventaja para los operadores, también representa un riesgo significativo para los inversores que no estén bien preparados para manejar movimientos bruscos en los precios.
1.4. Mercados de Futuros Populares
Los mercados de futuros abarcan una amplia gama de activos subyacentes. Aquí algunos de los mercados más populares:
- Commodities:
- Petróleo Crudo (WTI y Brent): Los futuros sobre petróleo son extremadamente líquidos y populares entre los inversores debido a la importancia global del petróleo en la economía.
- Oro y Plata: Los futuros sobre metales preciosos son una opción atractiva para quienes buscan protegerse contra la inflación o la inestabilidad económica.
- Granos (Trigo, Maíz, Soja): Estos futuros son esenciales para los actores de la industria agrícola y los especuladores.
- Índices Bursátiles:
- S&P 500: Uno de los contratos de futuros más negociados en el mundo, que permite a los inversores especular o protegerse contra movimientos en el índice S&P 500.
- NASDAQ-100: Popular entre los inversores tecnológicos, ya que sigue el desempeño de las principales empresas tecnológicas.
- Divisas:
- Euro/USD: Los futuros sobre pares de divisas como el Euro/USD permiten a los inversores especular sobre las fluctuaciones en el mercado de divisas.
- Yen Japonés/USD: Otro par de divisas popular, especialmente en momentos de incertidumbre económica global.
| Mercado | Futuro Popular | Activo Subyacente |
|---|---|---|
| Commodities | Petróleo Crudo WTI | Petróleo |
| Commodities | Oro | Metal Precioso |
| Índices Bursátiles | S&P 500 | Acciones del S&P 500 |
| Índices Bursátiles | NASDAQ-100 | Acciones Tecnológicas |
| Divisas | Euro/USD | Pares de Divisas |
| Divisas | Yen Japonés/USD | Pares de Divisas |
Este capítulo proporciona una base sólida sobre qué son los futuros, cómo funcionan, las diferencias entre operar e invertir en ellos, así como sus ventajas y desventajas. Además, introduce algunos de los mercados más populares para los futuros, proporcionando a los inversores una visión clara de dónde pueden enfocar sus estrategias.
Capítulo 2: Estrategias Avanzadas de Inversión en Futuros
En este capítulo, exploraremos estrategias avanzadas que pueden ayudarte a maximizar las oportunidades en el mercado de futuros. Desde la inversión a largo plazo hasta técnicas de arbitraje, estas estrategias están diseñadas para traders con experiencia que buscan sofisticar su enfoque y aprovechar la flexibilidad y el apalancamiento que los futuros ofrecen.
2.1. Inversión a Largo Plazo en Futuros
Invertir a largo plazo en futuros es menos común que en otros mercados debido a la naturaleza apalancada y la fecha de vencimiento de estos contratos. Sin embargo, los futuros pueden ser una herramienta poderosa para inversores con una visión clara del mercado.
Estrategias Clave:
- Mantener posiciones rolladas: Para mantener una exposición a largo plazo, es necesario «rollar» el contrato, es decir, cerrar el contrato que está por vencer y abrir uno nuevo con una fecha de vencimiento más lejana. Esto se utiliza comúnmente en inversiones en índices o commodities.
- Invertir en tendencias macro: Los inversores pueden usar futuros para capturar movimientos de largo plazo en mercados como el petróleo, el oro o índices bursátiles, basándose en tendencias económicas globales.

2.2. Estrategias de Cobertura (Hedging) con Futuros
El hedging es una estrategia utilizada para protegerse contra movimientos adversos en los precios de activos subyacentes. Los futuros son instrumentos clave en esta estrategia debido a su alta liquidez y capacidad de apalancamiento.
Ejemplos de Cobertura:
- Cobertura de una Cartera de Acciones: Un inversor con una cartera de acciones puede usar futuros sobre índices como el S&P 500 para protegerse contra una caída en el mercado. Al tomar una posición corta en futuros, las pérdidas en la cartera se compensan con ganancias en la posición de futuros.
- Cobertura en Commodities: Un productor agrícola puede vender futuros sobre su cosecha para asegurarse un precio fijo, protegiéndose contra la caída de precios antes de la cosecha.
| Activo Subyacente | Estrategia de Cobertura | Resultado |
|---|---|---|
| Cartera de Acciones | Venta de Futuros del S&P 500 | Protección contra caídas en el mercado |
| Producción Agrícola | Venta de Futuros de Granos | Aseguramiento de precios antes de la cosecha |
2.3. Spread Trading: Calendar Spread, Intermarket Spread, Pairs Trading, Statistical Arbitrage
El spread trading en futuros implica la compra y venta simultánea de dos contratos de futuros relacionados. Es menos riesgoso que una posición neta larga o corta, ya que el trader se beneficia de la convergencia o divergencia entre los dos precios.
Tipos de Spread Trading:
- Calendar Spread: Involucra la compra de un contrato de futuros en un mes y la venta de otro contrato del mismo activo en un mes diferente. Los traders apuestan a la convergencia o divergencia entre los precios de estos dos contratos.
- Intermarket Spread: Se realiza entre contratos de futuros sobre diferentes activos pero relacionados, como el petróleo y el gas natural. Los traders buscan beneficiarse de la relación entre estos dos mercados.
- Pairs Trading: Esta estrategia involucra la compra y venta de dos contratos de futuros sobre activos diferentes pero altamente correlacionados. Por ejemplo, futuros sobre oro y plata.
- Statistical Arbitrage: Es una forma de arbitraje basada en modelos estadísticos para identificar y explotar ineficiencias temporales en los precios de los futuros.

2.4. Estrategias Basadas en la Estacionalidad
La estacionalidad es un fenómeno en el que ciertos activos tienden a mostrar patrones de precios predecibles durante ciertas épocas del año. Este tipo de estrategia es común en commodities como los granos o el gas natural.
Ejemplos de Estacionalidad:
- Granos: Los precios de los futuros de maíz y soja suelen subir durante la temporada de crecimiento y bajar durante la cosecha, cuando la oferta aumenta.
- Energía: Los futuros de gas natural pueden mostrar un aumento de precios en los meses de invierno debido a la mayor demanda de calefacción.
Tabla de Ejemplos de Estacionalidad:
| Commodities | Meses de Alza | Meses de Baja |
|---|---|---|
| Maíz | Abril-Junio | Octubre-Noviembre |
| Gas Natural | Diciembre-Febrero | Marzo-Abril |
2.5. Uso de Futuros para Apalancar Inversiones en Carteras
El apalancamiento permite a los inversores controlar una gran posición con una inversión inicial relativamente pequeña. Sin embargo, el apalancamiento amplifica tanto las ganancias como las pérdidas, por lo que es crucial utilizar esta estrategia con precaución.
Aplicación:
- Apalancamiento en Índices: Un inversor que quiera aumentar la exposición a un índice bursátil sin utilizar capital adicional puede comprar futuros sobre el índice. Esto le permite amplificar los rendimientos (o pérdidas) sin necesidad de comprar más acciones.
- Apalancamiento en Commodities: En lugar de comprar oro físico, un inversor puede utilizar futuros de oro para obtener una mayor exposición al precio del oro.
Ejemplo de Apalancamiento:
| Inversión | Valor del Contrato | Margen Inicial | Apalancamiento |
|---|---|---|---|
| Índice S&P 500 | 200.000$ | 10.000$ | 20:1 |
2.6. Estrategias con Opciones sobre Futuros
Las opciones sobre futuros son contratos derivados que ofrecen el derecho, pero no la obligación, de comprar o vender un futuro a un precio específico antes de una fecha determinada. Las opciones pueden ser utilizadas para limitar el riesgo o para implementar estrategias más complejas.
Estrategias Comunes:
- Compra de Calls o Puts: Esto permite a los inversores beneficiarse de movimientos alcistas o bajistas en el activo subyacente con una exposición limitada al riesgo.
- Straddles y Strangles: Estas estrategias combinan la compra de una call y una put con el mismo vencimiento para beneficiarse de un movimiento fuerte en cualquier dirección.
- Iron Condors: Es una estrategia que se utiliza para beneficiarse de la baja volatilidad, vendiendo opciones fuera del dinero.


Como podemos observar en el Gráfico, se le da el nombre de Iron Condor debido a que el gráfico que representa las relación de pérdidas-beneficios recuerda a un ave con unas alas grandes abiertas.
2.7. Market Making y Arbitraje
El market making y el arbitraje son estrategias utilizadas por traders profesionales para capitalizar ineficiencias de precios en el mercado.
Market Making:
- Definición: Los market makers proporcionan liquidez al mercado comprando y vendiendo futuros, manteniendo un spread entre el precio de compra (bid) y el precio de venta (ask).
- Beneficio: Los market makers ganan dinero por la diferencia entre el bid y el ask. Este tipo de estrategia requiere tecnología avanzada y acceso directo a los mercados.
Arbitraje:
- Arbitraje de Precio: Involucra la compra y venta simultánea de un activo en diferentes mercados para aprovechar diferencias de precios.
- Arbitraje de Futuros: Involucra la compra de un activo subyacente mientras se vende un contrato de futuros sobre el mismo activo si existe una discrepancia en el precio.
Tabla de Ejemplos de Arbitraje:
| Tipo de Arbitraje | Activo 1 | Activo 2 | Estrategia |
|---|---|---|---|
| Precio | Futuros de Oro | Oro Físico | Compra de oro físico, venta de futuros |
| Intermercado | Petróleo WTI | Brent Crude | Compra de WTI, venta de Brent |
Este capítulo cubre una variedad de estrategias avanzadas para invertir en futuros, desde la inversión a largo plazo hasta el arbitraje. Cada estrategia tiene su propio perfil de riesgo y recompensa, y es crucial que los inversores comprendan completamente cada una antes de implementarlas en su cartera.
Capítulo 3: Análisis Fundamental y Macroeconómico
El análisis fundamental y macroeconómico es una parte crucial de la inversión en futuros, ya que permite a los traders entender cómo los factores económicos y políticos influyen en los precios de los activos subyacentes. Este capítulo profundiza en las principales variables macroeconómicas y cómo utilizarlas para tomar decisiones informadas en el mercado de futuros.
3.1. Factores Económicos que Afectan a los Futuros
Los precios de los futuros son altamente sensibles a una variedad de factores económicos que pueden variar según el tipo de activo subyacente. Entender estos factores es esencial para predecir movimientos de precios y para la gestión del riesgo.
Principales Factores Económicos:
- Crecimiento del PIB: Un crecimiento económico fuerte generalmente impulsa los precios de los futuros de índices bursátiles y de ciertas materias primas como el petróleo, mientras que un crecimiento débil puede tener el efecto contrario.
- Inflación: La inflación puede elevar los precios de los futuros de commodities, ya que reduce el poder adquisitivo del dinero. Por otro lado, los futuros sobre índices pueden verse presionados a la baja si la inflación lleva a políticas monetarias restrictivas.
- Tipos de Interés: Los cambios en los tipos de interés afectan directamente a los futuros de bonos y pueden influir en la renta variable y los commodities al alterar el costo de oportunidad de mantener estos activos.
Tabla de Impacto de Factores Económicos:
| Factor Económico | Futuros Afectados | Impacto Potencial |
|---|---|---|
| Crecimiento del PIB | Índices, Petróleo | Subida en épocas de crecimiento económico |
| Inflación | Commodities, Bonos | Subida en commodities, bajada en bonos |
| Tipos de Interés | Bonos, Divisas | Afecta precios de bonos y cruces de divisas |
3.2. Análisis de Oferta y Demanda en Commodities
El análisis de oferta y demanda es fundamental para predecir los movimientos de precios en los futuros de commodities. Los precios de los commodities responden directamente a cambios en la oferta, demanda y los inventarios globales.
Factores Clave en la Oferta:
- Producción Global: La producción de materias primas como el petróleo, el gas natural o los metales preciosos está influenciada por factores como las políticas gubernamentales, los costos de producción y las tecnologías disponibles.
- Inventarios: Los niveles de inventarios pueden actuar como un amortiguador entre la oferta y la demanda, afectando la volatilidad y la dirección de los precios.
Factores Clave en la Demanda:
- Crecimiento Económico: Un mayor crecimiento económico impulsa la demanda de materias primas industriales, mientras que una desaceleración puede reducirla.
- Patrones de Consumo: Los cambios en los patrones de consumo, como el aumento de la demanda de energía en economías emergentes, pueden impactar significativamente los precios.

3.3. Impacto de Políticas Monetarias y Fiscales
Las políticas monetarias y fiscales juegan un papel crucial en los mercados financieros y, por ende, en los precios de los futuros. Las decisiones de los bancos centrales, como la Reserva Federal o el Banco Central Europeo, pueden desencadenar movimientos significativos en los mercados.
Políticas Monetarias:
- Tasas de Interés: Un aumento en las tasas de interés generalmente lleva a un fortalecimiento de la moneda local y puede presionar a la baja los precios de futuros sobre bonos y acciones.
- Operaciones de Mercado Abierto: Las compras o ventas de activos por parte del banco central pueden afectar la liquidez del mercado y los precios de los futuros.
Políticas Fiscales:
- Gasto Público: Un aumento en el gasto público puede estimular la economía, lo que podría elevar los precios de futuros de índices y commodities.
- Impuestos: Los cambios en las políticas fiscales, como un aumento en los impuestos corporativos, pueden afectar los márgenes de las empresas y, por ende, los precios de futuros sobre índices.

3.4. Eventos Geopolíticos
Los eventos geopolíticos pueden tener un impacto inmediato y a menudo impredecible en los mercados de futuros. Conflictos armados, sanciones económicas, y cambios en la política internacional pueden crear volatilidad y oportunidades en el mercado.
Ejemplos de Eventos Geopolíticos:
- Conflictos en el Medio Oriente: Las tensiones en regiones clave productoras de petróleo pueden hacer subir los precios de futuros sobre crudo debido a la preocupación por interrupciones en el suministro.
- Sanciones Económicas: Las sanciones impuestas a países productores de commodities pueden alterar el equilibrio de oferta y demanda, afectando los precios.
- Acuerdos Comerciales: La firma o disolución de acuerdos comerciales puede afectar las exportaciones e importaciones de bienes básicos, influyendo en los precios de futuros.

3.5. Análisis de Ciclo Económico e Indicadores Adelantados
El ciclo económico, compuesto por las fases de expansión, pico, contracción y recesión, tiene un impacto significativo en los mercados de futuros. Los traders de futuros a menudo utilizan indicadores adelantados para prever cambios en el ciclo económico.
Indicadores Adelantados:
- Índice de Confianza del Consumidor: Este indicador mide la confianza de los consumidores en la economía y puede prever cambios en el gasto de los consumidores, afectando futuros sobre índices y commodities.
- Índice de Gestores de Compras (PMI): Un PMI creciente sugiere expansión económica, lo que puede impulsar los futuros sobre commodities industriales y acciones.
- Curva de Rendimiento: Una curva de rendimiento invertida a menudo precede a una recesión, lo que podría llevar a una caída en los futuros sobre índices bursátiles y un aumento en los futuros sobre bonos.
Tabla de Fases del Ciclo Económico y Activos Afectados:
| Fase del Ciclo Económico | Activos que Tienden a Subir | Activos que Tienden a Bajar |
|---|---|---|
| Expansión | Índices, Commodities | Bonos |
| Pico | Commodities | Bonos, Índices |
| Contracción | Bonos | Índices, Commodities |
| Recesión | Bonos, Oro | Índices, Commodities |
3.6. Modelos Econométricos y Previsión
Los modelos econométricos son herramientas avanzadas que permiten a los traders cuantificar las relaciones entre diferentes variables económicas y prever movimientos de precios en los futuros.
Tipos de Modelos:
- Modelos de Regresión Lineal: Usan relaciones estadísticas entre variables, como el PIB y los precios del petróleo, para predecir futuros movimientos.
- Modelos GARCH: Estos modelos son utilizados para prever la volatilidad, un factor clave en la fijación de precios de futuros.
- Modelos de Vector Autoregresivo (VAR): Capturan las relaciones dinámicas entre múltiples variables económicas, útiles para prever cambios en precios de futuros en respuesta a shocks económicos.

Este capítulo proporciona un marco para analizar los factores fundamentales y macroeconómicos que afectan a los precios de los futuros. Desde la oferta y la demanda hasta los modelos econométricos avanzados, comprender estos elementos es esencial para tomar decisiones informadas en los mercados de futuros.
Capítulo 4: Análisis Técnico y Cuantitativo
El análisis técnico y cuantitativo es fundamental para la inversión en futuros. Este capítulo abordará los principales indicadores técnicos, patrones gráficos, análisis de volumen, y cómo se pueden utilizar herramientas avanzadas como machine learning para identificar patrones ocultos. Además, se cubrirán técnicas de backtesting, forward testing y optimización de parámetros, elementos esenciales para mejorar las estrategias de inversión.
4.1. Principales Indicadores Técnicos
Los indicadores técnicos son herramientas estadísticas que los traders utilizan para interpretar los movimientos de precios en el mercado y predecir futuros movimientos. Aquí se presentan algunos de los más utilizados en el trading de futuros.
- Media Móvil (MA): Las medias móviles suavizan los datos de precios para ayudar a identificar tendencias. Las medias móviles simples (SMA) y exponenciales (EMA) son las más comunes.Gráfico de Media Móvil:Este gráfico muestra cómo una EMA de 50 días ayuda a identificar la tendencia subyacente en un contrato de futuros.
- Índice de Fuerza Relativa (RSI): El RSI mide la velocidad y el cambio de los movimientos de precios para identificar condiciones de sobrecompra o sobreventa.
- MACD (Moving Average Convergence Divergence): Este indicador muestra la relación entre dos medias móviles y ayuda a identificar posibles puntos de entrada y salida.
- Bollinger Bands: Estas bandas se forman alrededor de una media móvil y ayudan a identificar niveles de volatilidad, además de posibles rupturas o consolidaciones.
Tabla de Indicadores Técnicos y sus Aplicaciones:
| Indicador Técnico | Propósito | Aplicación |
|---|---|---|
| Media Móvil (MA) | Identificación de tendencias | Seguimiento de tendencia |
| RSI | Identificación de sobrecompra/sobreventa | Entradas y salidas |
| MACD | Identificación de cambios de tendencia | Confirmación de señales |
| Bollinger Bands | Medición de volatilidad | Detección de rupturas |
4.2. Patrones Gráficos
Los patrones gráficos son formaciones en los gráficos de precios que indican potenciales cambios o continuaciones en la tendencia del mercado. Conocer estos patrones es crucial para tomar decisiones informadas en la inversión en futuros.
- Cabeza y Hombros: Un patrón de reversión que indica un cambio en la tendencia de alcista a bajista o viceversa.
- Triángulos: Los triángulos ascendentes, descendentes y simétricos son patrones de continuación que pueden indicar la dirección futura del precio.
- Doble Techo y Doble Suelo: Estos patrones de reversión señalan posibles cambios en la dirección del mercado después de que el precio toque un nivel de resistencia o soporte dos veces.
- Bandera y Banderín: Estos son patrones de continuación que sugieren una breve pausa en la tendencia antes de que continúe en la misma dirección.

Tabla de Patrones Gráficos y sus Implicaciones:
| Patrón Gráfico | Implicación | Tipo de Patrón |
|---|---|---|
| Cabeza y Hombros | Reversión de tendencia | Reversión |
| Triángulo Ascendente | Continuación alcista | Continuación |
| Doble Techo | Reversión bajista | Reversión |
| Bandera | Continuación de la tendencia | Continuación |
4.3. Análisis de Volumen
El análisis de volumen se utiliza para confirmar tendencias y validar patrones. Un volumen alto generalmente indica fuerza en un movimiento, mientras que un volumen bajo puede sugerir debilidad.
- Volumen y Tendencia: Un aumento en el volumen durante un movimiento alcista sugiere que la tendencia es fuerte y probablemente continuará. Por el contrario, un volumen decreciente podría indicar una posible reversión.
- Volumen y Patrones: La formación de patrones gráficos como triángulos o banderas acompañados de un volumen creciente puede indicar una mayor probabilidad de que el patrón se confirme.

Tabla de Volumen y su Relación con Patrones:
| Volumen | Implicación en Patrones | Confirmación |
|---|---|---|
| Alto durante un rompimiento | Confirmación de un rompimiento | Alta probabilidad de éxito |
| Bajo en consolidación | Falta de fuerza en el mercado | Potencial reversión |
4.4. Identificación de Tendencias
La identificación de tendencias es clave para el éxito en la inversión en futuros. Las tendencias se clasifican generalmente como alcistas, bajistas o laterales, y reconocerlas a tiempo puede ser la diferencia entre una operación ganadora y una perdedora.
- Líneas de Tendencia: Las líneas de tendencia conectan puntos de precios altos o bajos sucesivos, ayudando a visualizar la dirección de la tendencia.
- Canales: Los canales son una extensión de las líneas de tendencia, donde se identifican tanto el soporte como la resistencia dentro de una tendencia.
- Indicadores de Tendencia: Herramientas como el ADX (Average Directional Index) se utilizan para medir la fuerza de una tendencia.

Tabla de Herramientas para Identificación de Tendencias:
| Herramienta | Propósito | Aplicación |
|---|---|---|
| Líneas de Tendencia | Identificación de la dirección | Visualización de la tendencia |
| Canales | Determinación de soportes y resistencias | Estrategias de trading |
| ADX | Medición de la fuerza de la tendencia | Confirmación de tendencia |
4.5. Machine Learning y Patrones Ocultos
El uso de machine learning en el análisis técnico permite la identificación de patrones ocultos y tendencias no evidentes a simple vista. Estas técnicas son particularmente útiles en mercados de futuros, donde los datos son abundantes y complejos.
- Redes Neuronales: Utilizadas para prever movimientos de precios mediante el análisis de grandes volúmenes de datos históricos.
- Árboles de Decisión y Random Forests: Estos modelos son útiles para identificar patrones específicos y tomar decisiones basadas en la probabilidad.
- Clustering: Un enfoque para agrupar datos similares, lo que permite identificar condiciones del mercado que preceden a movimientos significativos.

4.6. Backtesting y Forward Testing
El backtesting y forward testing son procesos esenciales para validar la efectividad de una estrategia de trading antes de aplicarla en tiempo real.
- Backtesting: Consiste en probar una estrategia utilizando datos históricos para evaluar su rendimiento en el pasado.
- Forward Testing: Después del backtesting, el forward testing se realiza en un entorno de simulación en tiempo real para ver cómo funciona la estrategia en condiciones actuales del mercado.

Tabla Comparativa de Backtesting y Forward Testing:
| Aspecto | Backtesting | Forward Testing |
|---|---|---|
| Datos Utilizados | Históricos | Tiempo real |
| Ventaja | Rápida evaluación de estrategias | Verificación en condiciones actuales |
| Desventaja | No considera cambios futuros | Más tiempo y recursos necesarios |
4.7. Optimización de Parámetros
La optimización de parámetros es el proceso de ajustar las variables dentro de una estrategia de trading para maximizar su efectividad.
- Parámetros de Indicadores: Ajustar las configuraciones de indicadores técnicos como el período de la media móvil o los niveles de RSI puede mejorar el rendimiento de una estrategia.
- Overfitting: Es importante evitar el sobreajuste, que ocurre cuando una estrategia está demasiado ajustada a los datos históricos y no generaliza bien a nuevos datos.

Gráfico de Optimización de Parámetros: Este gráfico muestra cómo diferentes configuraciones de un indicador técnico afectan la rentabilidad de una estrategia. Este mapa de optimización en 3D de una optimización con dos parámetros, que oscilan entre 0,5 y 10. Podemos apreciar como, a medida que nos desplazamos por las diferentes posibilidades de nuestros parámetros, se crean unas montañas que constituyen el mapa de Optimización, en este ejemplo diferenciamos claramente tres picos, que son los puntos de mayor beneficio del sistema.
Tabla de Factores en la Optimización de Parámetros:
| Factor | Importancia | Estrategia para Optimizar |
|---|---|---|
| Período de Indicadores | Afecta la sensibilidad a cambios de precios | Pruebas con múltiples configuraciones |
| Tolerancia al Riesgo | Afecta la relación riesgo/beneficio | Ajuste de parámetros de stop loss |
| Condiciones del Mercado | Diferentes en mercados alcistas y bajistas | Pruebas en diferentes ciclos de mercado |
Este capítulo cubre una variedad de herramientas y técnicas avanzadas para el análisis técnico y cuantitativo en el trading de futuros. Desde el uso de indicadores técnicos y patrones gráficos hasta el backtesting y la optimización de estrategias, dominar estos elementos es clave para cualquier trader que busque maximizar sus resultados en los mercados de futuros.
Capítulo 5: Gestión de Riesgos Integral
En la inversión en futuros, la gestión de riesgos es un componente crucial para asegurar la sostenibilidad a largo plazo. Este capítulo aborda las principales técnicas y herramientas para gestionar el riesgo de manera efectiva, desde el cálculo del tamaño de la posición hasta la consideración de las implicaciones fiscales. Implementar una gestión de riesgos sólida no solo protege tu capital, sino que también mejora las probabilidades de éxito en tus inversiones.
5.1. Cálculo del Tamaño de la Posición y Riesgo por Operación
Uno de los primeros pasos en la gestión del riesgo es determinar el tamaño adecuado de cada posición y definir el riesgo por operación.
- Cálculo del Tamaño de la Posición: El tamaño de la posición se debe basar en la cantidad de capital que estás dispuesto a arriesgar en cada operación. Una fórmula común es:
Tamaño de la Posición = ( Capital Total × Riesgo por Operación (%) ) / Puntos de Riesgo por Contrato
Ejemplo de Cálculo: Si tu capital total es de 100.000$ y decides arriesgar el 1% por operación, con un riesgo de 20 puntos en un contrato de futuros, el tamaño de la posición sería:
Tamaño de la Posición = (100.000 × 0.01) / 20 = 5 contratos - Riesgo por Operación: Define el porcentaje de tu capital que estás dispuesto a perder en una sola operación, comúnmente entre 1% y 2%.
Tabla de Tamaño de la Posición:
| Capital Total | Riesgo por Operación (%) | Puntos de Riesgo por Contrato | Tamaño de la Posición (Contratos) |
|---|---|---|---|
| 100.000$ | 1% | 20 | 5 |
| 50.000$ | 2% | 15 | 6,67 |
| 200.000$ | 1,5% | 25 | 12 |
5.2. Stop-Loss y Trailing Stops
Los stop-loss y trailing stops son herramientas esenciales para limitar las pérdidas y proteger las ganancias en las operaciones con futuros.
- Stop-Loss: Un stop-loss es una orden predefinida que cierra tu posición cuando el precio alcanza un nivel de pérdida predeterminado. Colocar un stop-loss adecuado puede evitar pérdidas significativas.
- Trailing Stop: Un trailing stop es un stop-loss dinámico que se mueve junto con el precio a medida que la operación se vuelve rentable, protegiendo las ganancias acumuladas.
Ejemplo de Trailing Stop:
Si el precio sube de 100$ a 110$ y tienes un trailing stop de 5$, tu stop se ajustará de 95$ a 105$.
Si el precio cae a 105$, la posición se cerrará automáticamente, asegurando una ganancia.

Tabla de Comparación entre Stop-Loss y Trailing Stop:
| Tipo de Stop | Función | Ventaja |
|---|---|---|
| Stop-Loss | Limita la pérdida en un nivel fijo | Protección contra pérdidas grandes |
| Trailing Stop | Asegura ganancias al moverse con el precio | Maximiza beneficios mientras limita pérdidas |
5.3. Diversificación y Correlación
La diversificación y el análisis de la correlación entre activos son clave para reducir el riesgo en una cartera de futuros.
- Diversificación: Consiste en distribuir el capital entre diferentes activos o mercados para reducir el riesgo específico de cada uno.
- Correlación: Es importante entender cómo los diferentes activos se mueven en relación entre sí. Una cartera diversificada debe incluir activos con bajas correlaciones para reducir la volatilidad general.

Tabla de Diversificación de Activos:
| Mercado de Futuros | Correlación con S&P 500 | Nivel de Diversificación |
|---|---|---|
| Petróleo Crudo | 0,25 | Alta |
| Oro | -0,10 | Alta |
| Índice Nasdaq | 0,85 | Baja |
| Trigo | 0,05 | Alta |
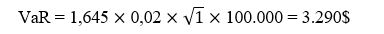
5.4. Value at Risk (VaR) y Stress Testing
El Value at Risk (VaR) y el Stress Testing son herramientas cuantitativas para medir y gestionar el riesgo en las inversiones en futuros.
- Value at Risk (VaR): El VaR mide la pérdida máxima esperada de una cartera durante un período específico con un nivel de confianza determinado. Por ejemplo, un VaR diario de 10.000$ con un 95% de confianza significa que hay un 5% de probabilidad de que las pérdidas superen esa cantidad en un día.
Fórmula del VaR:

Donde Zα es el valor z para el nivel de confianza, σ es la desviación estándar de los retornos, y VT es el período.
Ejemplo de Cálculo del VaR:
Con una desviación estándar del 2% y un valor de posición de 100.000$, el VaR con un 95% de confianza sería:

- Stress Testing: El Stress Testing evalúa cómo se comportaría tu cartera en escenarios extremos o inusuales, como crisis financieras o eventos geopolíticos significativos.

Tabla de Análisis de VaR:
| Valor de la Posición | Desviación Estándar | VaR a 95% Confianza |
|---|---|---|
| 100.000$ | 2% | 3.290$ |
| 50.000$ | 1.5% | 1.235$ |
| 200.000$ | 2.5% | 8.225$ |
5.5. Gestión del Riesgo Operacional y de Liquidez
La gestión del riesgo operacional y de liquidez es vital para asegurar que puedas mantener y cerrar tus posiciones de futuros cuando sea necesario.
- Riesgo Operacional: Este riesgo se relaciona con fallos en los sistemas, errores humanos o problemas en la ejecución de operaciones. Implementar procedimientos sólidos y mantener la infraestructura tecnológica puede minimizar este riesgo.
- Riesgo de Liquidez: Es el riesgo de no poder cerrar una posición a un precio favorable debido a la falta de compradores o vendedores. Es especialmente relevante en contratos de futuros con menor volumen de negociación.

Tabla de Riesgos Operacionales y de Liquidez:
| Tipo de Riesgo | Ejemplo | Mitigación |
|---|---|---|
| Operacional | Fallo en la ejecución de una orden | Automatización y redundancia |
| Liquidez | Incapacidad para vender un contrato en un mercado ilíquido | Limitar operaciones en mercados ilíquidos |
5.6. Implicaciones Fiscales
Las implicaciones fiscales de las inversiones en futuros son un aspecto que no se debe pasar por alto, ya que pueden afectar significativamente la rentabilidad neta.
- Tratamiento Fiscal de Futuros: En muchos países, las ganancias de los contratos de futuros se tratan como ingresos de capital, que pueden estar sujetos a tasas impositivas diferentes a las de las inversiones en acciones.
- Diferencia entre Ganancias a Corto y Largo Plazo: Es crucial entender cómo las ganancias se clasifican y tributan, ya que las inversiones mantenidas por menos de un año pueden estar sujetas a tasas más altas que aquellas mantenidas por períodos más largos.
Tabla de Implicaciones Fiscales:
| Tipo de Ganancia | Tasa de Impuesto | Estrategia Fiscal |
|---|---|---|
| Corto Plazo (menos de 1 año) | Tasa Marginal de Ingresos | Considerar mantener posiciones a largo plazo |
| Largo Plazo (más de 1 año) | Tasa Reducida (varía por país) | Aprovechar tasas más bajas de largo plazo |
Conclusión: La gestión de riesgos integral es esencial para cualquier inversor en futuros. Desde el cálculo preciso del tamaño de la posición hasta la consideración de las implicaciones fiscales, cada aspecto debe ser cuidadosamente manejado para proteger tu capital y maximizar tus rendimientos. Utilizando las herramientas y estrategias descritas en este capítulo, puedes establecer una base sólida para operar en los mercados de futuros con confianza y control.
Capítulo 6: Selección de Activos y Mercados
Seleccionar los mercados y activos adecuados es uno de los pasos más críticos en la inversión en futuros. Este capítulo se centrará en cómo elegir los mercados que mejor se alineen con tus objetivos de inversión, la diferencia entre futuros sobre commodities y futuros financieros, la importancia de considerar futuros internacionales, y cómo construir una cartera diversificada utilizando estos instrumentos.
6.1. Cómo Seleccionar los Mercados Adecuados
La selección del mercado adecuado depende de varios factores, incluyendo tu tolerancia al riesgo, horizonte temporal, conocimiento del mercado y objetivos de inversión. Aquí te presentamos los principales aspectos a considerar:
- Volatilidad: Los mercados con alta volatilidad pueden ofrecer grandes oportunidades de ganancias, pero también conllevan un mayor riesgo. Es crucial evaluar si estás cómodo manejando fluctuaciones significativas en el precio.
- Volumen de Negociación: Un volumen alto generalmente indica un mercado líquido, lo que facilita la entrada y salida de posiciones sin causar grandes movimientos en el precio. Los mercados más líquidos suelen ser menos arriesgados en términos de ejecución de órdenes.
- Correlación con Otros Activos: Considera cómo se comporta un mercado en relación con otros activos que posees. Por ejemplo, algunos futuros pueden actuar como cobertura para otras inversiones en tu cartera.
- Horarios de Negociación: Asegúrate de que los horarios de negociación del mercado sean compatibles con tu disponibilidad. Algunos mercados internacionales pueden tener horarios nocturnos o tempranos, lo cual puede no ser adecuado para todos los traders.
Tabla de Selección de Mercados:
| Factor | Descripción | Ejemplo de Mercados |
|---|---|---|
| Volatilidad | Grado de fluctuación de precios | Petróleo Crudo (alta), Oro (moderada) |
| Volumen de Negociación | Cantidad de contratos negociados diariamente | S&P 500 (alto), Café (bajo) |
| Correlación | Relación con otros activos de la cartera | Oro vs. USD (correlación inversa) |
| Horarios de Negociación | Períodos de tiempo en que se negocia | Mercados Asiáticos vs. EE.UU. |
6.2. Futuros sobre Commodities vs. Futuros Financieros
Los futuros se pueden clasificar principalmente en dos categorías: futuros sobre commodities y futuros financieros. Cada uno tiene características únicas que pueden influir en tu decisión de inversión.
- Futuros sobre Commodities: Estos contratos representan activos físicos como petróleo, oro, trigo o café. Son populares entre los inversores que desean diversificar fuera de los mercados financieros tradicionales o que buscan exposición directa a bienes tangibles.
Características:- Influenciados por factores de oferta y demanda.
- Pueden ser afectados por eventos climáticos, geopolíticos, y decisiones de política comercial.
- Requieren un seguimiento de los ciclos estacionales y las tendencias de consumo.
Gráfico de Volatilidad en Commodities:

- Futuros Financieros: Estos incluyen contratos sobre índices bursátiles, tipos de interés, bonos del Tesoro y divisas. Son útiles para quienes buscan protegerse contra movimientos en los mercados financieros o desean especular sobre tendencias macroeconómicas.
Características:- Están más directamente relacionados con la economía global y las políticas monetaria
- Pueden ser menos volátiles que algunos commodities, dependiendo del mercado específico.
- Adecuados para estrategias de cobertura y diversificación financiera.
Tabla de Comparación de Futuros Financieros:
| Activo Subyacente | Tamaño del Contrato | Fecha de Vencimiento | Liquidez | Apalancamiento | Uso Común |
|---|---|---|---|---|---|
| Futuros sobre Índices | E.g., S&P 500 – 250x índice | Trimestral (Mar, Jun, Sep, Dic) | Alta | Alto | Cobertura, especulación |
| Futuros sobre Divisas | E.g., EUR/USD – 125,000 EUR | Trimestral (Mar, Jun, Sep, Dic) | Alta | Medio | Cobertura contra tipo de cambio |
| Futuros sobre Commodities | E.g., Petróleo – 1,000 barriles | Mensual | Media | Alto | Cobertura, especulación |
| Futuros sobre Bonos | E.g., Bono del Tesoro a 10 años – $100,000 | Trimestral (Mar, Jun, Sep, Dic) | Alta | Medio | Cobertura de tasas de interés |
| Futuros sobre Metales | E.g., Oro – 100 onzas | Mensual | Alta | Alto | Inversión, especulación |
Tabla Comparativa: Commodities vs. Futuros Financieros:
| Aspecto | Commodities | Futuros Financieros |
|---|---|---|
| Naturaleza del Activo | Activos físicos (petróleo, oro) | Activos financieros (índices, bonos) |
| Factores Clave | Oferta/Demanda, clima, geopolítica | Políticas monetarias, tasas de interés |
| Riesgo | Alta volatilidad, influenciado por eventos externos | Relativamente estable, influenciado por economía global |
6.3. Futuros Internacionales
Invertir en futuros internacionales puede ofrecer diversificación geográfica y exposición a diferentes economías, sectores y políticas monetarias.
- Acceso a Mercados Globales: Los futuros internacionales permiten a los inversores acceder a mercados que podrían no estar disponibles a través de instrumentos nacionales. Esto puede incluir mercados emergentes, donde el crecimiento puede ser más alto, pero también con mayores riesgos.
- Riesgos de Divisas: Cuando inviertes en futuros internacionales, debes considerar el riesgo cambiario. Los movimientos en el tipo de cambio pueden aumentar o disminuir tus retornos en moneda local.
- Factores Macroeconómicos: Cada mercado tiene su propio conjunto de factores macroeconómicos que lo afectan, como la política monetaria local, la estabilidad política y el crecimiento económico.
Tabla de Comparación de Mercados Internacionales:
| Mercado | Región | Principal Contrato | Volatilidad | Riesgo Cambiario |
|---|---|---|---|---|
| CME Group | Norteamérica | S&P 500, Crudo WTI | Moderada | Bajo (USD) |
| Eurex | Europa | DAX, Bund Alemán | Moderada-Alta | Moderado (EUR) |
| SGX (Singapore) | Asia | Índice Nikkei, INR/USD | Alta | Alto |
| BMF&Bovespa | Sudamérica | Ibovespa, BRL/USD | Alta | Muy Alto |
6.4. Construcción de Carteras Diversificadas
La diversificación es clave para reducir el riesgo en cualquier tipo de inversión, y los futuros no son una excepción. Construir una cartera diversificada implica combinar diferentes tipos de futuros que se comportan de manera diferente en diversas condiciones del mercado.
- Diversificación entre Commodities y Financieros: Combinar futuros sobre commodities con futuros financieros puede equilibrar la volatilidad. Por ejemplo, mientras los futuros de índices pueden ser relativamente estables, los futuros de commodities como el petróleo pueden ofrecer oportunidades de altos retornos.
- Diversificación Geográfica: Invertir en futuros en diferentes regiones del mundo puede proteger tu cartera contra riesgos específicos de un país o región.
- Diversificación Temporal: Considerar futuros con diferentes vencimientos puede ayudarte a gestionar el riesgo y la liquidez en tu cartera.
Gráfico de Diversificación de Carteras:

Tabla de Ejemplo de Carteras Diversificadas:
| Composición de la Cartera | Futuros Incluidos | Nivel de Diversificación |
|---|---|---|
| Alta Diversificación | S&P 500, Crudo Brent, Oro, EUR/USD | Alta |
| Diversificación Moderada | Nasdaq 100, Trigo, Bonos del Tesoro | Moderada |
| Baja Diversificación | S&P 500, Dow Jones, Russell 2000 | Baja |
Conclusión: La selección de los activos y mercados adecuados es fundamental para el éxito en la inversión en futuros. Este capítulo te ha proporcionado las herramientas y conocimientos necesarios para evaluar diferentes mercados y construir carteras diversificadas que se ajusten a tus objetivos de inversión y tolerancia al riesgo. A medida que desarrolles tus habilidades como trader, la capacidad de seleccionar mercados de manera estratégica y diversificar tu cartera se convertirá en una ventaja competitiva clave.
Capítulo 7: Plataformas y Herramientas de Trading
Elegir la plataforma de trading adecuada y dominar las herramientas disponibles es fundamental para operar en los mercados de futuros de manera eficiente y efectiva. Este capítulo abordará las características clave de las mejores plataformas de trading, el uso de gráficos avanzados y análisis en tiempo real, la automatización a través del trading algorítmico, las API de trading para desarrollo personalizado, y una comparativa de las plataformas más populares.
7.1. Características de las Mejores Plataformas
Al seleccionar una plataforma de trading para operar en futuros, es crucial considerar las siguientes características:
- Interfaz de Usuario Intuitiva: La plataforma debe ser fácil de navegar y usar, permitiendo una rápida ejecución de órdenes y acceso a herramientas clave.
- Velocidad y Fiabilidad: La velocidad de ejecución es crítica en mercados de alta volatilidad como los futuros. Una plataforma confiable minimiza el riesgo de retrasos y caídas del sistema.
- Acceso a Múltiples Mercados: La posibilidad de negociar en diferentes mercados (commodities, índices, divisas) desde una única plataforma es una ventaja significativa.
- Herramientas de Análisis: Incluye indicadores técnicos, gráficos personalizables, y acceso a noticias y datos económicos en tiempo real.
- Soporte para Trading Algorítmico: Si planeas automatizar tu trading, la plataforma debe ser compatible con estrategias algorítmicas y permitir la implementación de Expert Advisors (EAs).
Imagen de Interfaz de una Plataforma de Trading Intuitiva:

7.2. Gráficos Avanzados y Análisis en Tiempo Real
El análisis gráfico es una herramienta esencial en el trading de futuros. Las plataformas de trading modernas ofrecen una amplia gama de funciones para personalizar y analizar gráficos:
- Indicadores Técnicos: Desde las medias móviles hasta el RSI y el MACD, las plataformas deben ofrecer una variedad de indicadores que se puedan ajustar según tus necesidades.
- Personalización de Gráficos: La capacidad de cambiar colores, tipos de gráficos (velas, líneas, barras), y agregar anotaciones es esencial para un análisis claro.
- Superposición de Múltiples Gráficos: Algunos mercados requieren la comparación simultánea de varios gráficos. Las plataformas avanzadas permiten superponer gráficos para análisis correlativo.
- Datos en Tiempo Real: El acceso a datos actualizados al segundo es crucial para tomar decisiones informadas y responder rápidamente a las condiciones del mercado.
Gráfico Avanzado con Indicadores Personalizados:

7.3. Automatización: Trading Algorítmico y EAs
La automatización del trading a través de algoritmos es una herramienta poderosa para los traders de futuros, ya que permite ejecutar estrategias sin intervención manual:
- Trading Algorítmico: Utiliza algoritmos predefinidos para ejecutar operaciones automáticamente según condiciones de mercado específicas. Esto es útil para estrategias que requieren rapidez y precisión.
- Expert Advisors (EAs): Los EAs son programas que se ejecutan en plataformas como MetaTrader, permitiendo automatizar tareas como la apertura y cierre de operaciones, la gestión de riesgo, y el análisis técnico.
- Backtesting: Antes de implementar un algoritmo, es esencial probarlo en datos históricos para evaluar su efectividad sin arriesgar capital real.
Esquema del Funcionamiento de un EA en MetaTrader:

7.4. API de Trading y Desarrollo Personalizado
Para traders avanzados que desean personalizar aún más su experiencia de trading, las APIs (Interfaces de Programación de Aplicaciones) permiten desarrollar herramientas y estrategias únicas:
- Desarrollo de Estrategias Personalizadas: Las APIs permiten a los traders crear y probar estrategias basadas en modelos propios, utilizando lenguajes de programación como Python o C#.
- Integración con Otras Herramientas: Las APIs facilitan la integración de la plataforma de trading con otros sistemas, como hojas de cálculo, aplicaciones móviles o software de análisis de datos.
- Acceso a Datos en Tiempo Real: A través de APIs, los traders pueden acceder a datos de mercado en tiempo real y utilizarlos para análisis avanzado o trading automatizado.
Diagrama de Flujo de Trabajo con API de Trading:

7.5. Comparativa de Plataformas
Finalmente, es importante comparar las plataformas de trading disponibles en el mercado para encontrar la que mejor se adapte a tus necesidades:
| Plataforma | Velocidad de Ejecución | Interfaz de Usuario | Compatibilidad con EAs | Funciones de Gráficos | Acceso a APIs |
|---|---|---|---|---|---|
| MetaTrader 4/5 | Alta | Intuitiva | Sí | Avanzadas | Sí |
| NinjaTrader | Muy Alta | Moderada | Sí | Muy Avanzadas | Sí |
| Thinkorswim | Alta | Intuitiva | No | Avanzadas | Limitada |
| TradingView | Alta | Muy Intuitiva | No | Muy Avanzadas | No |
| Interactive Brokers | Muy Alta | Compleja | Sí | Moderadas | Sí |
Conclusión: El uso de la plataforma y las herramientas adecuadas es vital para el éxito en el trading de futuros. Ya sea que necesites una interfaz intuitiva, gráficos avanzados, o la capacidad de automatizar tu trading, la elección de la plataforma correcta puede hacer una gran diferencia en tus resultados. Asegúrate de evaluar todas las opciones disponibles y seleccionar la que mejor se ajuste a tus objetivos y estilo de trading.
Capítulo 8: Psicología del Inversor Profesional
La psicología del trading es uno de los aspectos más importantes y, a menudo, subestimados para el éxito en la inversión en futuros. Mientras que la técnica y la estrategia son esenciales, la mentalidad y el control emocional del inversor son los que determinan la consistencia a largo plazo. En este capítulo, exploraremos cómo los traders profesionales manejan su psicología, controlan sus emociones, evitan el overtrading, y se enfrentan a sesgos cognitivos, todo ello mientras mantienen un enfoque ético.
8.1. Control Emocional y Disciplina
El control emocional es la capacidad de un trader para mantener la calma y la objetividad, incluso en momentos de alta volatilidad o después de una serie de pérdidas o ganancias:
- Establecer Rutinas y Reglas Claras: Los traders profesionales siguen rutinas diarias y reglas predeterminadas que guían su operativa. Estas reglas actúan como un marco de referencia que ayuda a tomar decisiones racionales en lugar de emocionales.
- Manejo del Estrés: Las técnicas de manejo del estrés, como la respiración profunda y la pausa consciente antes de tomar decisiones, ayudan a mantener la claridad mental.

8.2. Evitar el Overtrading y la Sobreexposición
El overtrading, o realizar demasiadas operaciones, y la sobreexposición a riesgos son problemas comunes que pueden erosionar rápidamente una cuenta de trading:
- Definición de Límites: Establecer un límite de operaciones diarias o semanales ayuda a evitar el overtrading. Además, limitar la cantidad de capital que se arriesga en una sola operación es clave para evitar la sobreexposición.
- Revisión de Operativas: Al final de cada semana, los traders profesionales revisan sus operaciones para identificar patrones de overtrading o situaciones en las que han asumido demasiado riesgo.
- Tabla de Límites y Gestión de Exposición:
| Aspecto | Límite Recomendado |
|---|---|
| Número de Operaciones Diarias | 3 a 5 operaciones |
| Riesgo por Operación | Máximo 1-2% del capital total |
| Exposición Total | No más del 10-15% del capital en riesgo |
8.3. Mindfulness y Meditación
La práctica de mindfulness y la meditación ayudan a los traders a mantenerse presentes, reducir el estrés y mejorar la claridad mental:
- Mindfulness en el Trading: Consiste en estar completamente presente en cada momento del trading, observando los pensamientos y emociones sin reaccionar impulsivamente a ellos.
- Meditación Diaria: Los traders profesionales dedican tiempo a la meditación diaria para mejorar su concentración y reducir la reactividad emocional.

8.4. Sesgos Cognitivos y Cómo Superarlos
Los sesgos cognitivos son distorsiones en el pensamiento que pueden llevar a decisiones irracionales. Superar estos sesgos es crucial para el éxito en el trading:
- Sesgo de Confirmación: La tendencia a buscar y dar más peso a la información que confirma nuestras creencias preexistentes. Superarlo implica buscar activamente puntos de vista opuestos y reevaluar las decisiones basadas en nueva información.
- Sesgo de Aversión a la Pérdida: La tendencia a sentir más dolor por una pérdida que placer por una ganancia. Para superar este sesgo, los traders se centran en la ejecución perfecta de su plan en lugar de en los resultados individuales de cada operación.
- Tabla de Sesgos Cognitivos y Estrategias para Superarlos:
| Sesgo Cognitivo | Descripción | Estrategia para Superarlo |
|---|---|---|
| Sesgo de Confirmación | Buscar información que confirme nuestras creencias | Buscar puntos de vista opuestos, análisis contrarios |
| Aversión a la Pérdida | Dar más peso emocional a las pérdidas que a las ganancias | Centrarte en el proceso, no en el resultado |
| Efecto de Anclaje | Fijarse en la primera información recibida | Revaluar continuamente, basándote en nueva información |
| Sesgo de Recencia | Dar más peso a eventos recientes | Mantener una visión a largo plazo y basarse en datos históricos |
8.5. Ética en el Trading
La ética en el trading no solo es una cuestión de cumplir con la regulación, sino también de mantener una conducta profesional que respete a todos los participantes del mercado:
- Transparencia y Honestidad: Mantener la transparencia en todas las comunicaciones y ser honesto con clientes, colegas y contigo mismo sobre las limitaciones y riesgos.
- Responsabilidad Social: Considerar el impacto de tus decisiones de trading en otros, incluidos los mercados y la economía en general.

Conclusión: El dominio de la psicología del trading es una parte esencial para convertirse en un trader de futuros exitoso. Controlar las emociones, evitar errores comunes como el overtrading, y desarrollar una mentalidad enfocada y ética son componentes clave para operar con éxito en los mercados. Incorporar prácticas como el mindfulness y ser consciente de los sesgos cognitivos puede mejorar significativamente la toma de decisiones, lo que lleva a un trading más efectivo y sostenible a largo plazo.
Capítulo 9: Evaluación y Optimización de Estrategias
La evaluación y optimización de estrategias es fundamental para el éxito en la inversión en futuros. Una estrategia sólida no solo debe generar beneficios, sino que también debe ser flexible y adaptable a las condiciones cambiantes del mercado. En este capítulo, exploraremos cómo evaluar el rendimiento de una estrategia, ajustar y optimizar los parámetros, y adaptar la estrategia a diferentes contextos de mercado.
9.1. Evaluación del Rendimiento
El primer paso para optimizar cualquier estrategia de inversión es evaluar su rendimiento en términos cuantitativos y cualitativos:
- Ratios de Rendimiento: Herramientas clave como el ratio de Sharpe, el ratio de Sortino y el factor de beneficio ayudan a medir la rentabilidad ajustada al riesgo de una estrategia.
- Análisis de Drawdown: Evaluar la magnitud y duración de las pérdidas más grandes (drawdown) es crucial para entender el riesgo que implica la estrategia. Un drawdown profundo puede indicar la necesidad de ajustes o incluso la revisión completa de la estrategia.
- Gráfico de Curva de Capital: Representar visualmente la evolución del capital a lo largo del tiempo ayuda a identificar tendencias de rendimiento y periodos de volatilidad elevada.
- Evaluación Estadística: Utilizar herramientas estadísticas como la desviación estándar, el coeficiente de variación y la regresión para evaluar la consistencia y fiabilidad de los resultados obtenidos.
9.2. Ajustes y Optimización
Una vez evaluado el rendimiento, el siguiente paso es ajustar y optimizar los parámetros de la estrategia para mejorar su rendimiento:
- Backtesting: Probar la estrategia con datos históricos para ver cómo habría funcionado en diferentes escenarios de mercado. Esto ayuda a identificar los parámetros más efectivos.
- Optimización Paramétrica: Ajustar variables clave como el tamaño de las posiciones, los niveles de stop-loss y take-profit, y los indicadores técnicos utilizados, para maximizar la eficiencia de la estrategia.
- Evitación de Overfitting: Es importante evitar la sobreoptimización, o “overfitting”, donde la estrategia se ajusta demasiado a los datos históricos, pero falla en condiciones de mercado reales.
- Gráfico de Backtesting: Un gráfico que compare el rendimiento de la estrategia antes y después de la optimización puede ofrecer una visión clara de las mejoras logradas.
- Tabla de Parámetros Optimizados: Mantener un registro de los parámetros optimizados para referencia futura y ajuste continuo.
| Parámetro | Valor Inicial | Valor Optimizado |
|---|---|---|
| Tamaño de Posición | 1 contrato | 2 contratos |
| Stop-Loss | 20 puntos | 15 puntos |
| Take-Profit | 40 puntos | 35 puntos |
9.3. Adaptación a Diferentes Condiciones de Mercado
Las condiciones del mercado son dinámicas, y una estrategia que funcione en un entorno puede no ser efectiva en otro. La adaptabilidad es clave:
- Estrategias para Mercados Alcistas vs. Bajistas: Diferenciar entre las estrategias diseñadas para mercados alcistas y bajistas y ajustarlas según las condiciones predominantes.
- Volatilidad del Mercado: Incorporar medidas de volatilidad, como el Índice de Volatilidad (VIX), para adaptar la estrategia. En mercados de alta volatilidad, es posible que sea necesario ajustar los niveles de stop-loss o reducir el tamaño de las posiciones.
- Rotación de Estrategias: Mantener un portafolio de estrategias y rotarlas según el ciclo económico y las condiciones del mercado.
- Gráfico de Ciclo de Mercado: Visualizar cómo las diferentes estrategias se desempeñan en diferentes fases del ciclo económico puede ayudar a elegir la mejor opción en cada situación.

Conclusión: La evaluación y optimización continua de una estrategia de inversión en futuros es esencial para mantener la rentabilidad y la competitividad en los mercados. Utilizar herramientas y técnicas avanzadas para evaluar el rendimiento, ajustar los parámetros, y adaptar la estrategia a diferentes condiciones de mercado garantiza que el trader esté preparado para enfrentar cualquier desafío que el mercado presente. Este enfoque disciplinado y sistemático no solo mejora los resultados, sino que también reduce los riesgos asociados a la inversión en futuros.
Capítulo 10: Casos Prácticos y Estudios de Caso
Para consolidar el conocimiento teórico y técnico que has adquirido hasta ahora, este capítulo se centrará en casos prácticos y estudios de caso del mundo real. Aprenderás a través de ejemplos reales, análisis de éxitos y fracasos, lecciones aprendidas de inversores experimentados y simulaciones de escenarios de mercado. Estos ejemplos te ayudarán a aplicar lo que has aprendido y a entender cómo las estrategias y teorías se materializan en situaciones reales.
10.1. Ejemplos Reales
En esta sección, se presentan varios ejemplos reales de inversión en futuros que ilustran cómo se implementan las estrategias en el mercado:
Ejemplo 1: Trading de Futuros de Petróleo WTI:
Contexto del Mercado
El Petróleo Crudo West Texas Intermediate (WTI) es uno de los commodities más líquidos y volátiles en el mercado de futuros. Los movimientos de precios en el WTI pueden estar influenciados por múltiples factores, como inventarios de petróleo, decisiones de la OPEP, tensiones geopolíticas, y datos macroeconómicos globales.
En este ejemplo, un trader experimentado observa una oportunidad para capitalizar un movimiento de precios basado en una combinación de análisis técnico y fundamental.
Análisis Fundamental
El trader comienza su análisis con una revisión fundamental:
- Datos Macroeconómicos: Los informes recientes muestran una disminución inesperada en los inventarios de petróleo en EE. UU., lo que sugiere un aumento en la demanda o una disminución en la oferta.
- Tensiones Geopolíticas: Surge tensión en una región clave productora de petróleo, lo que podría afectar la producción y, por lo tanto, aumentar los precios.
- Proyecciones de la OPEP: La OPEP anuncia que mantendrá su producción sin cambios, a pesar de la presión para reducir la oferta.
Estos factores llevan al trader a concluir que los precios del WTI podrían experimentar una tendencia alcista en el corto plazo.
Análisis Técnico
El trader utiliza el análisis técnico para determinar los puntos de entrada y salida:
- Tendencia del Mercado: Observa una tendencia alcista establecida en el gráfico diario del WTI, con precios formando máximos y mínimos más altos.
- Patrones Gráficos: Identifica un patrón de “cabeza y hombros invertido” en el gráfico de 4 horas, un indicador potencial de un cambio de tendencia hacia el alza.
- Indicadores Técnicos: El RSI (Índice de Fuerza Relativa) se encuentra en niveles de sobreventa, mientras que las Bandas de Bollinger muestran una contracción, señalando una posible expansión de volatilidad.
Estrategia Empleada
Basado en el análisis fundamental y técnico, el trader decide abrir una posición larga (de compra) en contratos de futuros de petróleo WTI.
- Entrada: El trader ingresa en la posición en 65,00$ por barril, después de la ruptura del patrón de cabeza y hombros invertido.
- Stop-Loss: Coloca un stop-loss en 63,00$, justo por debajo del nivel de soporte clave, para limitar las pérdidas en caso de que el mercado se mueva en contra.
- Objetivo de Beneficio: Establece un objetivo de beneficio en 70,00$, basado en una resistencia técnica identificada en el gráfico diario.
Gestión del Riesgo
El trader arriesga el 2% de su capital total en esta operación, utilizando una cantidad adecuada de contratos para que el tamaño de la posición esté alineado con su tolerancia al riesgo.
Desarrollo y Resultado de la Operación
- Movimiento Inicial: Después de la entrada, el precio sube a 68,00$ por barril, confirmando la tendencia alcista.
- Ajuste de Stop-Loss: El trader ajusta el stop-loss a 66,50$ para proteger ganancias en caso de una reversión repentina.
- Desenlace: El precio alcanza el objetivo de 70,00$, donde el trader cierra la posición, obteniendo un beneficio de 5,00$ por barril.
Conclusión
El trader logró capitalizar un movimiento alcista en los futuros del WTI mediante una combinación efectiva de análisis fundamental y técnico. Esta operación subraya la importancia de un enfoque bien planificado y de la gestión del riesgo en mercados volátiles. Además, el ajuste del stop-loss permitió asegurar parte de las ganancias sin limitar la posibilidad de capturar un movimiento mayor.
Este ejemplo demuestra cómo la volatilidad en mercados como el petróleo puede ser una oportunidad para traders bien preparados y con estrategias claras.

Ejemplo 2: Cobertura con Futuros de Índices Bursátiles:
Contexto del Mercado
Imaginemos que un inversor posee una cartera diversificada de acciones con un valor significativo, y está preocupado por un periodo de alta incertidumbre económica. Las tensiones comerciales entre grandes economías, indicadores económicos que sugieren una posible recesión y la volatilidad en los mercados financieros han incrementado su preocupación.
El inversor quiere proteger su cartera de una posible caída en los mercados, pero no desea liquidar sus posiciones. Para ello, decide utilizar futuros sobre el S&P 500 como un mecanismo de cobertura.
Análisis de la Situación
El S&P 500, uno de los índices bursátiles más seguidos, es un barómetro clave del mercado estadounidense. Si el mercado en general cae, es probable que la cartera del inversor también se vea afectada. Sin embargo, en lugar de vender sus acciones, el inversor opta por cubrirse mediante la venta de contratos de futuros del S&P 500.
Estrategia de Cobertura
El inversor decide cubrir su cartera utilizando futuros sobre el S&P 500 de la siguiente manera:
- Valor de la Cartera: El valor de mercado de la cartera es de 500.000$.
- Correlación con el S&P 500: La cartera tiene una alta correlación con el S&P 500, lo que la convierte en un buen candidato para la cobertura con este índice.
- Multiplicador del Contrato de Futuros del S&P 500: Cada contrato de futuros del S&P 500 tiene un multiplicador de 50$.
Cálculo de la Cobertura
El inversor determina el número de contratos necesarios para cubrir su cartera de la siguiente manera:
- Valor del Índice S&P 500: Supongamos que el S&P 500 está cotizando a 3.000 puntos.
- Valor Nominal de un Contrato de Futuros: 3.000$ * 50$ (multiplicador) = 150.000$.
- Número de Contratos Necesarios:
Número de contratos = Valor de la cartera / Valor nominal de un contrato
Número de contratos = 500.000 / 150.000 ≈ 3.33
El inversor decide cubrirse vendiendo 3 contratos de futuros del S&P 500.
Implementación de la Cobertura
- Venta de Futuros: El inversor vende 3 contratos de futuros del S&P 500 a 3.000 puntos.
- Mantenimiento de la Cobertura: A lo largo del periodo de incertidumbre, el inversor mantiene esta posición de futuros para protegerse de las posibles caídas en el mercado.
Desarrollo y Resultado de la Operación
- Escenario 1: El Mercado Cae: Si el S&P 500 baja a 2.800 puntos, la cartera del inversor sufre una pérdida debido a la caída de las acciones. Sin embargo, la posición corta en futuros genera una ganancia, compensando parte o la totalidad de la pérdida en la cartera.
Ganancia en futuros = (3,000 − 2,800) ∗ 50 ∗ 3 = 30.000$ - Escenario 2: El Mercado Sube: Si el S&P 500 sube a 3.200 puntos, la cartera gana valor, pero la posición corta en futuros genera una pérdida. No obstante, esta pérdida en futuros es compensada por la ganancia en la cartera de acciones.
Pérdida en futuros = (3,200 − 3,000) ∗ 50 ∗ 3 = −30.000$
En ambos escenarios, la cobertura mediante futuros ayuda a mitigar el impacto de las fluctuaciones en el mercado sobre la cartera del inversor.
Conclusión
Este ejemplo ilustra cómo un inversor puede utilizar futuros sobre índices bursátiles como el S&P 500 para proteger una cartera de acciones durante periodos de alta incertidumbre económica. La cobertura no tiene como objetivo generar ganancias, sino reducir el riesgo de grandes pérdidas en la cartera subyacente. Es una herramienta esencial en la gestión de carteras, especialmente en entornos de mercado volátiles.
10.2. Casos de Éxito y Fracaso
No todas las operaciones en el mercado de futuros resultan en éxito. Esta sección analiza tanto casos de éxito como de fracaso, proporcionando una visión equilibrada de los riesgos y recompensas:
Caso de Éxito: George Soros y la Libra Esterlina:
Contexto Histórico
En 1992, George Soros, un renombrado inversionista y fundador del fondo de cobertura Quantum Fund, se enfrentó a una oportunidad única en los mercados globales. Europa estaba intentando estabilizar su economía a través del Mecanismo de Tipos de Cambio (ERM), un sistema diseñado para reducir la variabilidad de los tipos de cambio y lograr la convergencia económica previa a la adopción del euro. La libra esterlina, sin embargo, estaba bajo una presión significativa debido a problemas económicos internos en el Reino Unido, como altas tasas de interés y una débil economía.
Estrategia de Trading de Soros
Soros identificó que la libra esterlina estaba sobrevaluada dentro del ERM y apostó a que el Banco de Inglaterra no podría mantener la libra dentro de la banda de fluctuación acordada. Su estrategia involucraba una combinación de posiciones cortas en la libra esterlina, utilizando tanto el mercado de futuros como otros instrumentos financieros, como opciones y swaps.
- Venta de Futuros sobre la Libra Esterlina: Soros comenzó a vender grandes cantidades de futuros de la libra esterlina, apostando a que su valor caería frente al marco alemán y otras monedas europeas.
- Posiciones en Forex: Paralelamente, Soros también tomó posiciones cortas en el mercado Forex, vendiendo libras y comprando marcos alemanes y otras monedas más fuertes.
- Aprovechamiento de la Palanca Financiera: Utilizó una alta palanca financiera para maximizar su exposición, lo que amplificó potencialmente las ganancias (o pérdidas) de sus operaciones.
El Desenlace
El 16 de septiembre de 1992, conocido como el «Miércoles Negro», el Banco de Inglaterra se vio obligado a retirar la libra del ERM tras no poder defender su valor a pesar de gastar miles de millones en reservas. La libra esterlina cayó dramáticamente, y Soros obtuvo una ganancia estimada en mil millones de dólares en un solo día.
Lecciones Aprendidas
- Análisis Fundamental: Soros realizó un análisis detallado de la situación macroeconómica, identificando las debilidades del sistema ERM.
- Gestión de Riesgos: Aunque asumió un gran riesgo, lo hizo con un alto grado de certeza en su análisis, lo que le permitió gestionar el riesgo de manera efectiva.
- Impacto en el Mercado: Este caso también demuestra cómo un solo actor con suficiente capital y convicción puede influir en mercados globales.
Caso de Fracaso: La Caída de Amaranth Advisors:
Contexto del Fondo
Amaranth Advisors fue un fondo de cobertura que, en su apogeo, gestionaba más de 9 mil millones de dólares en activos. Fundado por Nicholas Maounis en 2000, el fondo inicialmente operaba en varias estrategias, pero a partir de 2004 comenzó a centrarse en el comercio de energía, especialmente en los futuros de gas natural.
Estrategia de Trading
Brian Hunter, un operador estrella en Amaranth, tomó el mando de las operaciones en energía y empezó a realizar apuestas cada vez más grandes en el mercado de futuros de gas natural. La estrategia de Hunter se basaba en apuestas de calendario, es decir, en la diferencia entre los precios de los futuros de gas natural a corto y largo plazo. Creía que las condiciones meteorológicas, combinadas con la demanda y la oferta, crearían un diferencial favorable en el futuro.
- Apuestas en Futuros de Gas Natural: Hunter compraba contratos de futuros de gas natural con fechas de vencimiento lejanas y vendía contratos con fechas de vencimiento más cercanas, confiando en que los precios del gas a largo plazo aumentarían más que los precios a corto plazo.
- Posiciones Concentradas: A medida que aumentaba su confianza en sus predicciones, Hunter aumentó el tamaño de las posiciones, colocando el 50% del capital del fondo en apuestas relacionadas con el gas natural.
El Desenlace
En septiembre de 2006, un cambio inesperado en las condiciones del mercado, combinado con la llegada del invierno menos frío de lo esperado, causó que los precios del gas natural cayeran en lugar de subir. Esto resultó en pérdidas masivas para Amaranth Advisors. En cuestión de días, el fondo perdió más de 6 mil millones de dólares, lo que llevó a su colapso.
Errores y Lecciones Aprendidas
- Falta de Diversificación: La sobreexposición a una única clase de activos y a una estrategia específica dejó al fondo vulnerable a cambios en el mercado.
- Gestión de Riesgos Deficiente: Amaranth asumió una cantidad de riesgo excesivo sin los controles adecuados para mitigar las pérdidas potenciales.
- Confianza Excesiva: Hunter y la gerencia del fondo subestimaron los riesgos asociados con las posiciones concentradas y la naturaleza volátil del mercado de gas natural.
Estos casos destacan tanto el potencial de las operaciones en futuros para generar ganancias sustanciales como los riesgos inherentes que pueden llevar a pérdidas devastadoras. Mientras que el éxito de Soros se basó en un análisis riguroso y una gestión del riesgo bien calculada, el colapso de Amaranth Advisors subraya la importancia de la diversificación y la prudencia en la gestión de riesgos.
Caso de Éxito: Paul Tudor Jones y el Lunes Negro
Contexto Histórico
Paul Tudor Jones, uno de los traders más reconocidos en la historia, es famoso por predecir y capitalizar el colapso del mercado de valores en 1987, conocido como el «Lunes Negro». El 19 de octubre de 1987, el Dow Jones Industrial Average cayó un 22% en un solo día, el mayor desplome en un solo día en la historia del mercado de valores.
Estrategia de Trading de Jones
Jones utilizó una combinación de análisis técnico y análisis macroeconómico para prever el colapso. Observó una serie de similitudes entre el mercado de 1987 y la caída del mercado en 1929, incluyendo el rápido aumento de los precios de las acciones y las señales de una inminente desaceleración económica.
- Venta de Futuros sobre Índices: Jones se posicionó fuertemente en cortos en los futuros del S&P 500 y otros índices bursátiles importantes. Anticipando la caída, vendió contratos de futuros para beneficiarse de la caída de los precios.
- Uso de Opciones: Además de los futuros, Jones empleó opciones de venta (puts) para aumentar su exposición a la baja del mercado, maximizando sus posibles ganancias en caso de una caída abrupta.
El Desenlace
Cuando el mercado colapsó el «Lunes Negro», las posiciones cortas de Jones en los futuros del S&P 500 le generaron enormes beneficios. Se estima que ganó alrededor de 100 millones de dólares durante ese evento, consolidando su reputación como uno de los traders más astutos y exitosos de su tiempo.
Lecciones Aprendidas
- Anticipación y Preparación: La capacidad de Jones para prever el colapso se basó en un profundo análisis histórico y técnico.
- Diversificación de Estrategias: Aunque se centró en futuros, Jones también utilizó opciones, lo que le permitió aprovechar al máximo las oportunidades del mercado.
- Disciplina y Convicción: Mantener sus posiciones a pesar de la presión del mercado muestra la importancia de la disciplina en el trading.
Caso de Fracaso: MF Global y la Crisis de los Bonos Europeos
Contexto del Fondo
MF Global, una firma de corretaje dirigida por Jon Corzine, ex CEO de Goldman Sachs y gobernador de Nueva Jersey, colapsó en 2011 debido a una serie de apuestas arriesgadas en bonos soberanos europeos. La compañía estaba especializada en trading de futuros y derivados, y su caída es uno de los ejemplos más notorios de mala gestión y exceso de apalancamiento.
Estrategia de Trading
Corzine apostó agresivamente en bonos soberanos europeos, creyendo que los países en crisis como Italia y España no caerían en incumplimiento y que los precios de sus bonos se recuperarían. MF Global utilizó apalancamiento extremo para financiar estas posiciones, con la expectativa de obtener grandes rendimientos cuando los precios de los bonos aumentaran.
- Compra de Bonos Soberanos con Futuros: MF Global utilizó futuros y repos (acuerdos de recompra) para financiar la compra de bonos soberanos europeos, asumiendo grandes posiciones a largo plazo en estos activos.
- Exposición a Alto Riesgo: La firma apostó más de 6 mil millones de dólares en estos bonos, con la expectativa de que la intervención del Banco Central Europeo estabilizaría los precios.
El Desenlace
La situación de la deuda soberana europea empeoró, y los precios de los bonos en los que MF Global había apostado cayeron en lugar de subir. Las pérdidas acumuladas fueron enormes, y para cubrirlas, MF Global utilizó fondos de clientes, lo que agravó la crisis de confianza en la firma. En octubre de 2011, la compañía se declaró en quiebra, dejando a los clientes con pérdidas de más de mil millones de dólares.
Errores y Lecciones Aprendidas
- Apalancamiento Excesivo: El uso de apalancamiento extremo aumentó el riesgo de la operación, exponiendo a MF Global a pérdidas mucho mayores de lo que podían manejar.
- Mala Gestión de Riesgos: La falta de diversificación y la dependencia de una única estrategia de alto riesgo llevaron al colapso de la firma.
- Uso Inapropiado de Fondos de Clientes: Al utilizar los fondos de los clientes para cubrir pérdidas, MF Global violó la confianza y las regulaciones, lo que exacerbó su caída.
Caso de Éxito: John Arnold y la Oportunidad en el Mercado de Gas Natural
Contexto Histórico
John Arnold, un trader de energía que comenzó su carrera en Enron y luego fundó su propio fondo de cobertura, Centaurus Advisors, es conocido por haber capitalizado las fluctuaciones extremas en el mercado de gas natural. Su éxito radica en su capacidad para identificar oportunidades en un mercado altamente volátil y tomar decisiones rápidas basadas en datos y análisis detallados.
Estrategia de Trading de Arnold
Arnold aprovechó la volatilidad en los precios del gas natural, realizando operaciones tanto largas como cortas en futuros de gas natural, basándose en un análisis profundo del suministro y la demanda, así como en las condiciones climáticas y la capacidad de almacenamiento.
- Trading de Volatilidad: Arnold se especializó en identificar oportunidades donde el mercado había subestimado o sobreestimado la volatilidad futura del gas natural. Utilizó tanto futuros como opciones para aprovechar estas situaciones.
- Estrategias de Cobertura: A menudo, Arnold cubría sus apuestas con posiciones en otros mercados energéticos, mitigando así el riesgo de movimientos adversos.
El Desenlace
En 2006, Arnold obtuvo ganancias masivas cuando Centaurus Advisors apostó correctamente en la dirección de los precios del gas natural, en contraste con Amaranth Advisors, que sufrió enormes pérdidas. Su capacidad para navegar el mercado y gestionar riesgos de manera efectiva le permitió cerrar su fondo en 2012 con una reputación de uno de los traders más exitosos de su generación.
Lecciones Aprendidas
- Enfoque en la Volatilidad: La especialización de Arnold en el trading de volatilidad le permitió identificar y explotar oportunidades que otros traders pasaban por alto.
- Disciplina en la Gestión de Riesgos: A pesar de las grandes apuestas, Arnold siempre mantuvo un enfoque disciplinado en la gestión de riesgos, protegiéndose contra escenarios adversos.
- Capacidad de Adaptación: Arnold demostró una habilidad excepcional para adaptarse rápidamente a las condiciones cambiantes del mercado.
Caso de Fracaso: La Burbuja de los Tulipanes y los Futuros en el Siglo XVII
Contexto Histórico
Uno de los primeros y más notorios ejemplos de burbuja financiera ocurrió en el siglo XVII con la «Tulipomanía» en los Países Bajos. Durante este período, los precios de los bulbos de tulipán alcanzaron niveles extraordinarios, en parte debido a la especulación en futuros, donde los comerciantes compraban y vendían contratos para entregar tulipanes a un precio futuro.
Estrategia de Trading
Los comerciantes y especuladores comenzaron a comprar futuros de tulipanes, apostando a que los precios seguirían subiendo. A medida que más personas se unían a la fiebre de los tulipanes, los precios de los contratos de futuros se dispararon.
- Especulación Extrema: La estrategia básica consistía en comprar contratos de futuros de tulipanes con la expectativa de venderlos a un precio más alto antes de que vencieran.
- Mercado Ilíquido: A medida que la burbuja crecía, el mercado se volvía más ilíquido, con precios alejados de cualquier valor razonable basado en la oferta y la demanda real de tulipanes.
El Desenlace
Cuando la burbuja estalló en 1637, los precios de los tulipanes cayeron dramáticamente, y los contratos de futuros se volvieron inútiles. Muchos especuladores quedaron arruinados, ya que no pudieron vender sus contratos a precios razonables ni cumplir con sus obligaciones.
Errores y Lecciones Aprendidas
- Especulación sin Fundamentación: La falta de un valor subyacente real y el exceso de especulación llevaron a la inevitable caída del mercado.
- Riesgo de Liquidez: La falta de compradores cuando la burbuja estalló mostró los peligros de un mercado ilíquido.
- Lecciones Históricas: Este caso destaca los riesgos de seguir una manía especulativa sin una comprensión clara del valor intrínseco del activo subyacente.
Tabla Comparativa de Éxitos y Fracasos en Trading de Futuros
| Caso | Estrategia Utilizada | Resultado | Lección Clave |
|---|---|---|---|
| George Soros y la Libra Esterlina | Apuesta en corto contra la libra esterlina utilizando futuros y otros instrumentos. | Éxito: Ganó más de 1,000 millones de dólares. | La importancia de entender las políticas monetarias y aprovechar las ineficiencias del mercado. |
| La Caída de Amaranth Advisors | Grandes posiciones en futuros de gas natural, mal gestionadas. | Fracaso: El fondo colapsó. | Los riesgos del apalancamiento excesivo y la necesidad de una gestión rigurosa del riesgo. |
| Paul Tudor Jones y el Lunes Negro | Posiciones cortas en futuros del S&P 500 y uso de opciones basadas en análisis técnico y macroeconómico. | Éxito: Ganó aproximadamente 100 millones de dólares. | La combinación de análisis técnico y macroeconómico para prever colapsos de mercado. |
| MF Global y la Crisis de los Bonos Europeos | Apuesta agresiva en bonos soberanos europeos utilizando futuros y apalancamiento extremo. | Fracaso: La empresa se declaró en quiebra. | Los peligros del apalancamiento excesivo y la importancia de la gestión adecuada de fondos de clientes. |
| John Arnold y la Oportunidad en el Mercado de Gas Natural | Estrategias basadas en el análisis cuantitativo y fundamental en el mercado de gas natural. | Éxito: Ganancias multimillonarias antes de retirarse. | El valor del análisis profundo y la rápida adaptación a cambios en el mercado. |
| La Burbuja de los Tulipanes y los Futuros en el Siglo XVII | Contratos de futuros sobre bulbos de tulipán durante una burbuja especulativa. | Fracaso: Colapso total del mercado. | Los peligros de la especulación desenfrenada y la falta de regulación en mercados emergentes. |
10.3. Lecciones Aprendidas de Inversores Profesionales
Aprender de los que han caminado el camino antes que tú es invaluable. Aquí se presentan lecciones de algunos de los traders de futuros más exitosos del mundo:
- Lección 1: La Disciplina es Clave (Paul Tudor Jones): Paul Tudor Jones, un renombrado trader de futuros, enfatiza la importancia de mantener la disciplina y adherirse a un plan de trading estructurado, sin dejarse llevar por las emociones.
- Lección 2: Entender el Riesgo (Richard Dennis): Conocido por su experimento «Turtle Traders», Richard Dennis enseñó a sus aprendices la importancia de comprender y gestionar el riesgo en cada operación.
- Lección 3: Mantén la Flexibilidad (George Soros): George Soros, famoso por su apuesta contra la libra esterlina, destaca la importancia de ser flexible y estar dispuesto a cambiar de opinión cuando las circunstancias cambian. Reconocer cuándo estás equivocado y ajustar tu estrategia en consecuencia es crucial para el éxito a largo plazo.
- Lección 4: El Valor de la Paciencia (Warren Buffett): Aunque Warren Buffett es más conocido por su inversión en acciones, su enfoque hacia los mercados es aplicable al trading de futuros. Buffett enseña que la paciencia es vital; esperar el momento adecuado para entrar en una operación puede marcar la diferencia entre el éxito y el fracaso.
- Lección 5: Gestiona tus Emociones (Ray Dalio): Ray Dalio, fundador de Bridgewater Associates, enseña la importancia de la autoconciencia y la gestión emocional en el trading. Mantener las emociones bajo control y no tomar decisiones impulsivas basadas en el miedo o la avaricia es esencial para un trading exitoso.
- Lección 6: La Importancia de la Innovación (John Arnold): John Arnold, conocido por su éxito en el trading de gas natural, demuestra cómo la innovación y el uso de nuevas tecnologías pueden proporcionar una ventaja competitiva en el mercado de futuros. Adaptarse a los cambios y buscar constantemente formas de mejorar tu estrategia es fundamental.
- Lección 7: Aprende de los Errores (Jesse Livermore): Jesse Livermore, uno de los traders más legendarios de la historia, subraya la importancia de aprender de tus errores. Después de haber experimentado tanto éxitos como fracasos, Livermore enfatiza que cada error es una oportunidad de aprendizaje que te puede hacer un mejor trader.
Estas lecciones, extraídas de la experiencia de traders exitosos, pueden servir como guías valiosas para cualquiera que esté interesado en el trading de futuros.
10.4. Simulaciones de Escenarios de Mercado
Finalmente, es importante practicar lo aprendido a través de simulaciones que recrean situaciones de mercado. Estas simulaciones permiten probar estrategias sin arriesgar capital real:
- Simulación 1: Mercados Volátiles: Un escenario en el que se simulan grandes fluctuaciones en los precios de los futuros de oro. La simulación incluye decisiones de entrada y salida, gestión del riesgo y ajustes de estrategia.
- Simulación 2: Tendencias Prolongadas: Un ejercicio que simula un mercado de futuros sobre el índice NASDAQ en una tendencia alcista prolongada. Los participantes deben decidir cómo gestionar sus posiciones y ajustar sus estrategias para maximizar las ganancias.

Conclusión: Los casos prácticos y estudios de caso proporcionan un contexto real para los conceptos discutidos en capítulos anteriores. A través de ejemplos reales, análisis de éxitos y fracasos, lecciones de profesionales y simulaciones de escenarios de mercado, este capítulo te ofrece una visión integral y práctica de cómo invertir en futuros. La teoría es solo una parte del trading; la práctica y la experiencia en situaciones reales son lo que finalmente define el éxito en los mercados.
Capítulo 11: Regulación y Consideraciones Legales
La inversión en futuros no solo implica dominar la técnica y la estrategia, sino también entender el marco regulatorio y las implicaciones legales que rigen estos mercados. Conocer las leyes y regulaciones es crucial para operar de manera segura y conforme a la normativa vigente. Este capítulo cubre las principales regulaciones de los mercados de futuros y las consideraciones legales que los inversores profesionales deben tener en cuenta.
11.1. Regulación de los Mercados de Futuros
Los mercados de futuros están altamente regulados para garantizar la transparencia, la integridad y la equidad de las operaciones. Aquí abordamos las principales instituciones y normativas que regulan estos mercados a nivel global y local:
- Comisión de Comercio de Futuros de Materias Primas (CFTC): En Estados Unidos, la CFTC es el principal organismo regulador que supervisa el comercio de futuros y opciones sobre futuros. Su función es proteger a los participantes del mercado contra el fraude, la manipulación y las prácticas abusivas.
- Autoridades Reguladoras Internacionales: A nivel global, existen otras instituciones como la Autoridad de Conducta Financiera (FCA) en el Reino Unido, la Autoridad Europea de Valores y Mercados (ESMA) en la Unión Europea, y la Comisión de Valores de Australia (ASIC), entre otras. Cada una de estas organizaciones establece reglas para garantizar el funcionamiento ordenado de los mercados de futuros en sus respectivas jurisdicciones.
- Regulación de los Brokers: Los brokers que facilitan el acceso a los mercados de futuros deben estar registrados y cumplir con regulaciones específicas, incluyendo requisitos de capital mínimo, protección de fondos de los clientes, y reportes regulares a las autoridades regulatorias.
- Normas de Transparencia y Reportes: Las regulaciones imponen a las plataformas y los traders la obligación de reportar sus transacciones y mantener un nivel de transparencia que permita a las autoridades monitorear la actividad del mercado. Esto incluye reportes diarios de posiciones y la divulgación de información clave a los inversores.
Gráfico de Estructura Regulatoria Global:
| País/Región | Organismo Regulador | Función Principal |
|---|---|---|
| Estados Unidos | CFTC | Supervisión de futuros y opciones |
| Unión Europea | ESMA | Armonización y supervisión de mercados |
| Reino Unido | FCA | Regulación de servicios financieros |
| Australia | ASIC | Protección de los inversores |
| Asia (varios países) | Varios (por país) | Regulación según jurisdicción |
11.2. Implicaciones para Inversores Profesionales
Los inversores profesionales deben estar particularmente atentos a las implicaciones legales de operar en los mercados de futuros, ya que estas pueden afectar significativamente su estrategia y gestión de riesgos:
- Cumplimiento Normativo (Compliance): Los traders profesionales están sujetos a estrictos requisitos de cumplimiento que incluyen la verificación de identidad (KYC), la lucha contra el lavado de dinero (AML), y el reporte de transacciones sospechosas. El no cumplimiento puede resultar en sanciones severas.
- Licencias y Autorizaciones: En algunas jurisdicciones, los traders que gestionan fondos de terceros o que operan en nombre de una empresa deben obtener licencias específicas para operar legalmente en los mercados de futuros.
- Responsabilidad Fiduciaria: Los gestores de fondos y traders profesionales que operan con dinero de terceros tienen una responsabilidad fiduciaria de actuar en el mejor interés de sus clientes, lo que incluye una gestión prudente del riesgo y la transparencia en las decisiones de inversión.
- Implicaciones Fiscales: Las ganancias obtenidas en los mercados de futuros están sujetas a impuestos que varían según la jurisdicción. Es crucial entender las leyes fiscales aplicables para evitar problemas legales y optimizar las estrategias de inversión desde un punto de vista fiscal.
- Resolución de Conflictos: Los inversores profesionales deben estar preparados para posibles disputas legales que puedan surgir en relación con las operaciones de futuros. La mayoría de los contratos de futuros incluyen cláusulas de arbitraje o mediación para resolver conflictos fuera de los tribunales.
Tabla de Consideraciones Legales Clave:
| Consideración Legal | Descripción | Impacto en la Estrategia |
|---|---|---|
| Cumplimiento Normativo | Requisitos legales y de reporte que deben cumplirse | Aumenta la carga administrativa y de control |
| Licencias y Autorizaciones | Permisos necesarios para operar legalmente en ciertas regiones | Puede limitar la operación en algunos mercados |
| Responsabilidad Fiduciaria | Obligación de actuar en el mejor interés del cliente | Exige una gestión de riesgos estricta |
| Implicaciones Fiscales | Tratamiento fiscal de las ganancias y pérdidas | Afecta la rentabilidad neta de las operaciones |
| Resolución de Conflictos | Métodos para resolver disputas legales | Importante para la gestión de riesgos legales |
Conclusión: Entender la regulación y las consideraciones legales en la inversión en futuros es esencial para operar de manera segura y eficiente en los mercados globales. Los inversores profesionales deben estar bien informados sobre las leyes que rigen sus actividades, las implicaciones de cumplir con la normativa y los riesgos legales asociados. Este conocimiento no solo protege contra sanciones y conflictos legales, sino que también ayuda a optimizar las estrategias de inversión y a operar con mayor confianza en un entorno regulado.
Capítulo 12: Continuación del Aprendizaje
El mercado de futuros es un entorno dinámico y en constante evolución. Para mantenerse al día y mejorar continuamente, es crucial que los traders profesionales y aspirantes se comprometan con un aprendizaje continuo. En este capítulo, exploraremos recursos esenciales como libros, publicaciones, cursos avanzados y comunidades de trading que pueden ayudar a profundizar el conocimiento y mejorar las habilidades en la inversión en futuros.
12.1. Libros, Publicaciones y Recursos
La literatura sobre futuros es vasta, y existen numerosos libros y publicaciones que ofrecen conocimientos valiosos tanto para principiantes como para profesionales experimentados. A continuación, se presentan algunos recursos recomendados en español:
- Libros:
- «Análisis Técnico de los Mercados Financieros» por John J. Murphy: Aunque este libro es más general, proporciona una base sólida en análisis técnico, una habilidad crucial para operar en futuros.
- «Operar en Mercados de Futuros» por José Luis Cava: Este libro aborda específicamente el trading en mercados de futuros, ofreciendo estrategias prácticas y análisis detallados.
- «Leones contra gacelas» por José Luis Cárpatos: Proporciona una visión detallada de la psicología del mercado y cómo esta afecta a los inversores.
- Publicaciones y Revistas:
- «Rankia»: Una comunidad y portal financiero que ofrece artículos, análisis y opiniones sobre futuros y otros instrumentos financieros.
- «El Economista»: Aunque es un periódico económico general, cuenta con secciones dedicadas a los mercados financieros y futuros, proporcionando información actualizada.
- «Inversor Global»: Ofrece análisis, noticias y consejos de inversión en futuros y otros mercados.
- Recursos en Línea:
- Webinars y Videos: Plataformas como YouTube y Rankia ofrecen webinars y videos educativos en español sobre estrategias de trading en futuros.
- Blogs y Foros: Invertirenbolsa.info y Foro-Inversiones.com son excelentes lugares para leer análisis y participar en discusiones sobre el trading de futuros.
12.2. Cursos Avanzados y Seminarios
Para aquellos que buscan profundizar sus conocimientos, los cursos avanzados y los seminarios son una excelente opción. Estos pueden ser presenciales o en línea, y a menudo ofrecen la oportunidad de interactuar con expertos y otros traders.
- Cursos Avanzados en Español:
- «Trading de Futuros» en Bolsa.net: Un curso online que se centra en estrategias avanzadas de trading en futuros, con un enfoque práctico y orientado a resultados.
- «Master en Mercados Financieros» en IEB (Instituto de Estudios Bursátiles): Este máster ofrece un módulo especializado en futuros, ideal para traders que buscan un conocimiento profundo y certificado.
- «Curso de Trading Profesional» en Trading y Bolsa para Torpes: Este curso cubre desde lo básico hasta estrategias avanzadas, incluyendo futuros, con un enfoque accesible para todos.
- Seminarios y Conferencias:
- «Trading Room»: Un evento anual organizado por XTB que reúne a expertos del trading para discutir estrategias y mercados, incluyendo futuros.
- «Bolsalia»: Aunque es una conferencia más general sobre inversión, ofrece talleres específicos sobre futuros y otros derivados.
- Webinars Especializados: Brokers como IG Markets y Renta 4 ofrecen webinars periódicos sobre estrategias avanzadas en futuros.
12.3. Comunidades de Trading
Participar en comunidades de trading es una excelente manera de mantenerse conectado con otros profesionales, intercambiar ideas y obtener nuevas perspectivas. Aquí hay algunas comunidades activas en español:
- «Rankia»: Es una de las comunidades financieras más grandes en el mundo hispano, con foros activos sobre futuros, análisis compartidos y discusiones sobre estrategias.
- «Trading United»: Una comunidad enfocada en el aprendizaje colaborativo, donde los traders comparten sus experiencias y estrategias, y ofrecen mentoring a los menos experimentados.
- «X-Trader.net»: Un portal que incluye un foro donde se discuten temas relacionados con el trading de futuros, entre otros mercados.
- Grupos de Redes Sociales: Plataformas como Facebook y Telegram tienen grupos dedicados al trading de futuros en español, donde se comparten señales, análisis y experiencias.
| Comunidad | Descripción |
|---|---|
| Rankia | Comunidad de finanzas con foros sobre futuros y otros derivados |
| Trading United | Foro de aprendizaje colaborativo y mentoring |
| X-Trader.net | Portal y foro de discusión sobre trading, con enfoque en derivados |
| Grupos en Redes Sociales | Grupos en Facebook y Telegram donde se comparten estrategias y análisis |
Conclusión: El aprendizaje continuo es un pilar fundamental para el éxito a largo plazo en los mercados de futuros. La literatura, los cursos avanzados y la participación en comunidades de trading son recursos clave que permiten a los traders mantenerse actualizados, mejorar sus habilidades y adaptarse a las cambiantes condiciones del mercado. Este capítulo proporciona una guía completa para quienes buscan seguir profundizando su conocimiento y habilidades en la inversión en futuros.
Capítulo 13: Conclusión
En este último capítulo, vamos a sintetizar todo lo aprendido a lo largo del tutorial y a ofrecer una guía final para quienes buscan convertirse en inversores profesionales en futuros. Exploraremos los puntos clave tratados, cómo desarrollar un plan de inversión sólido, y los pasos necesarios para transformarse en un inversor profesional.
13.1. Resumen de los Puntos Clave
A lo largo de este tutorial, hemos abordado diversos aspectos fundamentales y avanzados sobre la inversión en futuros. A continuación, se presenta un resumen de los puntos clave:
- Introducción a la Inversión en Futuros:
- Los futuros son contratos financieros que permiten comprar o vender un activo subyacente en una fecha futura a un precio acordado.
- Operar en futuros requiere un entendimiento profundo de las dinámicas del mercado y una estrategia bien definida.
- Estrategias Avanzadas:
- Inversión a largo plazo, coberturas (hedging), spread trading, y estrategias estacionales son solo algunas de las técnicas exploradas.
- El uso de futuros permite apalancamiento y diversificación en las carteras.
- Análisis Fundamental y Técnico:
- Los factores económicos, políticas monetarias, y eventos geopolíticos influyen significativamente en los mercados de futuros.
- Herramientas como indicadores técnicos, patrones gráficos y análisis cuantitativo son esenciales para identificar oportunidades de trading.
- Gestión de Riesgos:
- La gestión de riesgos es crucial para minimizar pérdidas, mediante el cálculo adecuado del tamaño de la posición, uso de stop-loss, y diversificación.
- El Value at Risk (VaR) y el stress testing son técnicas avanzadas para evaluar la exposición al riesgo.
- Plataformas de Trading:
- Elegir la plataforma correcta, que ofrezca gráficos avanzados, análisis en tiempo real y opciones de automatización, es fundamental para el éxito en futuros.
- Psicología del Inversor:
- El control emocional, la disciplina y la superación de sesgos cognitivos son tan importantes como el análisis técnico o fundamental.
- Técnicas como el mindfulness y la meditación pueden ayudar a mejorar la toma de decisiones.
- Aprendizaje Continuo:
- La educación constante, a través de libros, cursos y comunidades, es esencial para mantenerse competitivo en un mercado tan dinámico como el de futuros.

13.2. Cómo Desarrollar un Plan de Inversión
Desarrollar un plan de inversión sólido es crucial para alcanzar el éxito en los mercados de futuros. A continuación, se detallan los pasos para construir un plan de inversión eficaz:
- Definición de Objetivos:
- Clarificar los objetivos financieros a corto, medio y largo plazo.
- Establecer metas específicas, medibles y alcanzables.
- Análisis de Mercados:
- Seleccionar los mercados de futuros que se alineen con los objetivos del inversor.
- Realizar un análisis fundamental y técnico para identificar oportunidades.
- Estrategia de Inversión:
- Decidir qué estrategias utilizar, como coberturas, spread trading o inversiones estacionales.
- Adaptar la estrategia según las condiciones del mercado.
- Gestión de Riesgos:
- Establecer reglas claras para el cálculo del tamaño de la posición y el uso de stop-loss.
- Diversificar la cartera para reducir la exposición al riesgo.
- Evaluación y Optimización:
- Monitorizar continuamente el rendimiento de las inversiones.
- Realizar ajustes y optimizaciones en la estrategia según sea necesario.
| Estrategia de Inversión | Ventajas | Desventajas | Condiciones de Mercado Óptimas |
|---|---|---|---|
| Inversión a Largo Plazo | – Potencial de altas ganancias a lo largo del tiempo. – Alineada con tendencias macroeconómicas. | – Requiere un análisis profundo y paciencia. – Riesgo de fluctuaciones a corto plazo. | – Mercados con tendencias claras a largo plazo. – Condiciones macroeconómicas estables. |
| Cobertura (Hedging) | – Reduce el riesgo de pérdidas significativas. – Protege la cartera de movimientos adversos. | – Puede limitar las ganancias potenciales. – Costos asociados con la implementación. | – Alta volatilidad en el mercado subyacente. – Incertidumbre económica. |
| Spread Trading | – Menor riesgo en comparación con posiciones direccionales. – Beneficios de la convergencia de precios. | – Ganancias potenciales limitadas. – Requiere análisis complejo de correlaciones. | – Mercados correlacionados. – Diferencias en fechas de vencimiento (Calendar Spread). |
| Trading Estacional | – Aprovecha patrones de mercado repetitivos. – Basado en datos históricos. | – Riesgo de cambios en patrones estacionales. – Requiere actualización constante del análisis. | – Mercados con patrones estacionales predecibles (commodities agrícolas, por ejemplo). |
| Uso de Apalancamiento | – Aumenta el potencial de ganancias con una menor inversión inicial. – Útil en mercados con baja volatilidad. | – Aumenta el riesgo de pérdidas significativas. – Requiere una gestión de riesgos rigurosa. | – Mercados con baja volatilidad y tendencias claras. – Condiciones macroeconómicas estables. |
| Opciones sobre Futuros | – Flexibilidad en la estrategia. – Posibilidad de limitar el riesgo con opciones. | – Complejidad en la implementación. – Costos asociados con la compra de opciones. | – Mercados con alta volatilidad. – Expectativas de movimientos significativos en los precios. |
13.3. Convertirse en un Inversor Profesional
Para convertirse en un inversor profesional en futuros, es necesario seguir un camino disciplinado y comprometido con la mejora continua. Aquí se describen los pasos esenciales para lograr este objetivo:
- Educación Continua:
- Participar en cursos avanzados y seminarios para profundizar en el conocimiento del mercado.
- Leer publicaciones especializadas y mantenerse actualizado con las tendencias del mercado.
- Experiencia Práctica:
- Operar en cuentas demo para probar estrategias sin riesgo financiero.
- Aumentar gradualmente el capital invertido a medida que se gana confianza y experiencia.
- Networking y Mentorship:
- Conectarse con otros profesionales del trading a través de comunidades y redes sociales.
- Buscar mentores que puedan ofrecer orientación y feedback basado en su experiencia.
- Desarrollo Personal:
- Trabajar en la psicología del trading, gestionando emociones y manteniendo la disciplina.
- Implementar técnicas de mindfulness para mejorar la concentración y la toma de decisiones.
- Cumplimiento Legal y Ético:
- Conocer y cumplir con las regulaciones del mercado de futuros.
- Mantener un comportamiento ético y profesional en todas las operaciones.

Conclusión General: Invertir en futuros es una habilidad compleja pero extremadamente gratificante para quienes están dispuestos a aprender y evolucionar continuamente. Este tutorial ha ofrecido una guía completa, desde los conceptos básicos hasta las estrategias avanzadas, proporcionando las herramientas necesarias para tener éxito en este campo. Con la combinación correcta de conocimiento, experiencia y disciplina, es posible alcanzar un alto nivel de profesionalismo y éxito en los mercados de futuros.
