Sumario:
- Introducción al Mercado Forex
- Conceptos Básicos del Forex
- Funcionamiento del Forex
- Análisis de Mercado
- Estrategias de Trading en Forex
- Plataformas y Herramientas de Trading
- Automatización del Trading
- Psicología del Trading
- Educación Financiera
- Practicando el Trading de Forex
- Recursos y Formación Adicional
- Conclusión
Capítulo 1: Introducción al Mercado Forex
1.1. ¿Qué es el mercado Forex?
El mercado Forex, o mercado de divisas, es el mercado global donde se negocian las monedas. Forex es una abreviatura de «Foreign Exchange». Es el mercado financiero más grande y líquido del mundo, con un volumen diario de transacciones que supera los 6 billones de dólares. A diferencia de otros mercados financieros, Forex no tiene una ubicación física ni una bolsa centralizada. En su lugar, se opera electrónicamente a través de redes de bancos, corredores y traders individuales.
Ejemplo práctico: Imagina que un turista estadounidense viaja a Europa y necesita cambiar dólares por euros. Este intercambio se realiza en el mercado Forex. Ahora, si un inversor cree que el euro se apreciará frente al dólar, puede comprar euros con dólares y venderlos más tarde a un precio más alto, obteniendo así una ganancia.
1.2. Historia del Forex
El mercado Forex ha evolucionado significativamente desde sus inicios. A continuación, se presentan algunos hitos clave en su desarrollo:
- 1944: Acuerdo de Bretton Woods: Después de la Segunda Guerra Mundial, se estableció un sistema de tasas de cambio fijas entre las principales monedas del mundo y el dólar estadounidense, que a su vez estaba ligado al oro. Este sistema duró hasta 1971.
- 1971: Fin del Acuerdo de Bretton Woods: El presidente Nixon anunció el fin de la convertibilidad del dólar en oro, lo que dio inicio a un sistema de tasas de cambio flotantes.
- 1990s: Digitalización del Forex: Con el avance de la tecnología y la internet, el mercado Forex se volvió accesible para inversores minoristas, permitiendo que más personas pudieran participar en el trading de divisas.
Ejercicio: Investiga y menciona dos eventos históricos adicionales que hayan impactado el mercado Forex y explica brevemente su importancia.
1.3. Principales Participantes en el Mercado Forex
El mercado Forex está compuesto por diversos participantes, cada uno con sus propios objetivos y estrategias:
- Bancos Centrales: Influyen en el valor de sus monedas nacionales a través de políticas monetarias y tasas de interés.
- Bancos Comerciales y de Inversión: Facilitan transacciones de grandes volúmenes tanto para clientes institucionales como individuales.
- Corporaciones Multinacionales: Realizan operaciones Forex para pagar bienes y servicios en diferentes países.
- Fondos de Inversión y Fondos de Cobertura: Utilizan el Forex para diversificar sus inversiones y gestionar riesgos.
- Traders Minoristas: Individuos que operan en el mercado Forex con fines de lucro.
Ejemplo práctico: Un banco central podría intervenir en el mercado Forex para depreciar su moneda con el objetivo de hacer sus exportaciones más competitivas.
Ejercicio: Enumera tres participantes más en el mercado Forex y describe cómo cada uno de ellos influye en el mercado.
1.4. Horario de Operaciones del Forex
El mercado Forex opera las 24 horas del día, cinco días a la semana, debido a su naturaleza global. Las operaciones comienzan en la tarde del domingo en Australia y terminan el viernes por la tarde en Nueva York. El mercado se divide en cuatro sesiones principales:
- Sesión de Sídney: 22:00 – 07:00 GMT
- Sesión de Tokio: 00:00 – 09:00 GMT
- Sesión de Londres: 08:00 – 17:00 GMT
- Sesión de Nueva York: 13:00 – 22:00 GMT
Estas sesiones se solapan en ciertos momentos, proporcionando alta liquidez y oportunidades de trading.
Ejemplo práctico: Un trader en Europa puede operar durante la sesión de Londres y Nueva York, aprovechando los solapamientos para maximizar las oportunidades de trading.
Ejercicio: Consulta el horario de tu zona y determina en qué momento puedes aprovechar los solapamientos de las sesiones para tu trading.
Conclusión
En este primer capítulo, hemos introducido los conceptos básicos del mercado Forex, su historia, los principales participantes y el horario de operaciones. Estos fundamentos son esenciales para cualquier principiante que desee aventurarse en el mundo del Forex.
Capítulo 2: Conceptos Básicos del Forex
2.1. Pares de divisas: Mayores, menores y exóticos
En el mercado Forex, las divisas se negocian en pares. Cada par de divisas incluye una divisa base y una divisa cotizada. Los pares de divisas se dividen en tres categorías principales:
- Pares mayores: Involucran al dólar estadounidense (USD) y son los más negociados en el mundo. Ejemplos: EUR/USD (euro/dólar), GBP/USD (libra/dólar), USD/JPY (dólar/yen).
- Pares menores: No incluyen al dólar estadounidense, pero sí otras divisas importantes. Ejemplos: EUR/GBP (euro/libra), EUR/JPY (euro/yen).
- Pares exóticos: Involucran una divisa principal y una divisa de una economía emergente. Ejemplos: USD/TRY (dólar/lira turca), EUR/TRY (euro/lira turca).
Ejemplo práctico: Si ves la cotización EUR/USD = 1,2000, significa que 1 euro equivale a 1,20 dólares estadounidenses.
Ejercicio: Investiga y enumera cinco pares exóticos y sus respectivas divisas base y cotizadas.
2.2. Cotizaciones: Precio de compra (Bid) y precio de venta (Ask)
Las cotizaciones en Forex siempre muestran dos precios:
- Precio de compra (Bid): Es el precio al que puedes vender la divisa base.
- Precio de venta (Ask): Es el precio al que puedes comprar la divisa base.
La diferencia entre estos dos precios se llama «spread».
Ejemplo práctico: Si la cotización EUR/USD es 1,2000/1,2002, el Bid es 1,2000 y el Ask es 1,2002. El spread es 0,0002.
Ejercicio: Encuentra las cotizaciones actuales de tres pares mayores y calcula el spread para cada uno.
2.3. Pip y pipeta: Definiciones y cálculos
Un pip (Percentage in Point) es la unidad de medida del cambio en el valor entre dos divisas. Generalmente, un pip es el cuarto decimal en una cotización. Una pipeta es una fracción de pip y representa el quinto decimal.
Ejemplo práctico: Si la cotización del EUR/USD cambia de 1,2000 a 1,2001, ha cambiado 1 pip. Si cambia de 1,20001 a 1,20002, ha cambiado 1 pipeta.
Ejercicio: Calcula el cambio en pips si la cotización del GBP/USD pasa de 1,3500 a 1,3550.
2.4. Lotes y apalancamiento: Tamaño del lote y su importancia
El tamaño del lote es la cantidad estándar de unidades de una divisa que se negocian. Los tamaños de lote comunes son:
- Lote estándar: 100.000 unidades de la divisa base.
- Mini lote: 10.000 unidades.
- Micro lote: 1.000 unidades.
El apalancamiento permite a los traders controlar posiciones más grandes con una pequeña cantidad de capital propio. Por ejemplo, un apalancamiento de 1:100 significa que puedes controlar 100.000$ con 1.000$ de margen.
Ejemplo práctico: Con un apalancamiento de 1:50, si tienes 1.000$ en tu cuenta, puedes controlar 50.000$ en el mercado Forex.
Ejercicio: Calcula cuánto podrías controlar en el mercado Forex con 500$ en tu cuenta y un apalancamiento de 1:100.
2.5. Spread y comisiones
2.5.1. Impacto del spread en las ganancias
El spread es el costo implícito de cada operación en Forex. Un spread más amplio significa un costo mayor y puede afectar tus ganancias.
Ejemplo práctico: Si el spread del EUR/USD es 2 pips y abres una posición de 1 lote estándar, el costo es 20$.
Ejercicio: Calcula el costo en pips y en dinero para una operación de 1 mini lote en USD/JPY con un spread de 3 pips.
2.5.2. Cálculo de los costos totales de una operación
Los costos totales incluyen el spread y cualquier comisión cobrada por el broker.
Ejemplo práctico: Si tu broker cobra una comisión de 5$ por lote estándar y el spread es de 2 pips en EUR/USD, el costo total de una operación de 1 lote sería 25$ (20$ por el spread + 5$ de comisión).
Ejercicio: Determina el costo total de una operación de 2 mini lotes en GBP/USD con un spread de 1,5 pips y una comisión de 3$ por mini lote.
2.6. Rollover y tasas de interés
2.6.1. Cálculo de swaps
El rollover se refiere a la transferencia de una posición abierta a la siguiente sesión de trading. Dependiendo de las tasas de interés de las divisas involucradas, se puede recibir o pagar un swap.
Ejemplo práctico: Si tienes una posición larga en AUD/USD y la tasa de interés del AUD es mayor que la del USD, recibirás un pago de swap.
Ejercicio: Consulta las tasas de interés actuales y calcula el swap para una posición larga en EUR/JPY mantenida durante una noche.
2.6.2. Impacto en las operaciones mantenidas durante la noche
Mantener una posición durante la noche puede resultar en costos adicionales o ingresos debido a los swaps. Es importante considerarlo en tu estrategia de trading.
Ejemplo práctico: Si mantienes una posición corta en GBP/USD durante una semana, con un swap diario de -0,5 pips, calcula el costo total del swap para esa semana.
Ejercicio: Analiza cómo los swaps pueden afectar tu rentabilidad en una estrategia de trading a largo plazo.
Capítulo 3: Funcionamiento del Forex
3.1. Cómo abrir y cerrar una posición
En el mercado Forex, abrir una posición significa realizar una operación para comprar o vender una divisa. Cerrar una posición implica realizar la operación opuesta para liquidar la transacción y concretar las ganancias o pérdidas.
Pasos para abrir una posición:
- Selecciona un par de divisas: Por ejemplo, EUR/USD.
- Decide el tamaño del lote: Este puede ser estándar (100.000 unidades), mini (10.000 unidades), o micro (1.000 unidades).
- Coloca la orden: Puedes elegir entre diferentes tipos de órdenes (market, limit, stop-loss, etc.).
- Confirma la transacción: Revisa los detalles y confirma la orden.
Pasos para cerrar una posición:
- Accede a la posición abierta: En tu plataforma de trading, selecciona la operación que deseas cerrar.
- Elige la opción de cerrar: Selecciona cerrar la posición o realizar la operación opuesta.
- Confirma la transacción: Revisa y confirma para cerrar la operación.
Ejemplo práctico: Si abres una posición comprando 1 lote estándar de EUR/USD a 1,2000, has comprado 100.000 euros a $1,2000 cada uno. Para cerrar, venderás 1 lote estándar de EUR/USD al precio actual del mercado.
Ejercicio: Abre una cuenta demo en una plataforma de trading y practica abrir y cerrar posiciones en diferentes pares de divisas.
3.2. Tipos de órdenes: Market, Limit, Stop-Loss, Take-Profit
Market Order (Orden de Mercado)
Una orden de mercado se ejecuta inmediatamente al precio actual del mercado.
Limit Order (Orden Limitada)
Una orden limitada se ejecuta a un precio específico o mejor. Por ejemplo, si EUR/USD está en 1,2000 y deseas comprar solo si baja a 1,1950, puedes colocar una orden limitada.
Stop-Loss Order (Orden de Stop-Loss)
Una orden de stop-loss cierra una posición para limitar las pérdidas. Si compraste EUR/USD a 1,2000 y colocas un stop-loss en 1,1900, la posición se cerrará si el precio baja a 1,1900.
Take-Profit Order (Orden de Take-Profit)
Una orden de take-profit cierra una posición para asegurar ganancias. Si compraste EUR/USD a 1,2000 y colocas un take-profit en 1,2100, la posición se cerrará si el precio sube a 1,2100.
3.2.1. Órdenes OCO y trailing stop
Órdenes OCO (One-Cancels-the-Other)
Una orden OCO combina dos órdenes condicionales, donde si una se ejecuta, la otra se cancela automáticamente.
Trailing Stop (Stop Dinámico)
Un trailing stop ajusta automáticamente el nivel de stop-loss a medida que el precio se mueve a tu favor. Por ejemplo, si tu trailing stop está a 20 pips, se moverá 20 pips detrás del precio actual.
Ejemplo práctico: Coloca una orden de compra limitada para EUR/USD en 1,1950 con un stop-loss en 1,1900 y un take-profit en 1,2050.
Ejercicio: Practica colocando diferentes tipos de órdenes en una cuenta demo y observa cómo se ejecutan bajo diferentes condiciones de mercado.
3.3. Margen y margin call
El margen es el depósito requerido para abrir una posición apalancada. Un margin call ocurre cuando el capital de tu cuenta cae por debajo del margen requerido, y el broker te pide que deposites más fondos o cierre algunas posiciones para cubrir las pérdidas.
Ejemplo práctico: Si usas un apalancamiento de 1:100, solo necesitas un margen del 1% para controlar una posición. Para una posición de 100.000$, el margen requerido sería 1.000$.
Ejercicio: Calcula el margen requerido para abrir una posición de 2 mini lotes en EUR/USD con un apalancamiento de 1:50.
3.4. Rollover y tasas de interés
El rollover es el proceso de transferir una posición abierta al siguiente día de negociación. Esto genera un ajuste de interés basado en las tasas de las divisas involucradas. Este ajuste se conoce como swap.
Ejemplo práctico: Si mantienes una posición larga en AUD/USD y la tasa de interés del AUD es mayor que la del USD, recibirás un pago de swap. Si es al revés, pagarás un swap.
Ejercicio: Consulta las tasas de interés actuales y calcula el swap para mantener una posición larga en EUR/JPY durante tres noches.
Capítulo 4: Análisis de Mercado
El análisis de mercado es fundamental para tomar decisiones informadas en el trading de Forex. En este capítulo, exploraremos tres enfoques principales de análisis: técnico, fundamental y de sentimiento.
4.1. Análisis Técnico
4.1.1. Principios del Análisis Técnico
El análisis técnico se basa en el estudio de los movimientos de precios históricos para predecir futuros movimientos de precios. Se fundamenta en tres principios clave:
- El precio lo descuenta todo: Toda la información relevante ya está reflejada en el precio.
- Los precios se mueven en tendencias: Los movimientos de precios tienden a seguir una dirección determinada.
- La historia tiende a repetirse: Los patrones de precios históricos tienden a repetirse debido a la psicología del mercado.
4.1.2. Indicadores y Herramientas Técnicas más Comunes
- RSI (Relative Strength Index): Mide la fuerza del precio de un activo. Valores por encima de 70 indican sobrecompra, y por debajo de 30, sobreventa.
- MACD (Moving Average Convergence Divergence): Ayuda a identificar cambios en la fuerza, dirección, impulso y duración de una tendencia.
- Medias Móviles: Promedios que suavizan las fluctuaciones de precios para identificar tendencias. Las más comunes son la media móvil simple (SMA) y la media móvil exponencial (EMA).
4.1.3. Patrones de Gráficos y Velas Japonesas
- Patrones de Continuación: Señalan la continuación de una tendencia existente. Ejemplos: Triángulos, Banderas.
- Patrones de Reversión: Indican un cambio de tendencia. Ejemplos: Hombro-Cabeza-Hombro, Doble Techo.
- Velas Japonesas: Representan la acción del precio en un marco de tiempo específico. Ejemplos: Martillo, Estrella Fugaz.












Ejemplo práctico: Usa un gráfico de velas japonesas para identificar un patrón de Martillo Invertido y analiza su impacto en una tendencia bajista.
Ejercicio: Practica identificando patrones de velas japonesas en diferentes gráficos de divisas y anota tus observaciones.
4.2. Análisis Fundamental
4.2.1. Principios del Análisis Fundamental
El análisis fundamental evalúa el valor intrínseco de una divisa considerando factores económicos, sociales y políticos que pueden influir en su precio.
4.2.2. Principales Indicadores Económicos
- PIB (Producto Interno Bruto): Indicador del crecimiento económico de un país.
- Tasas de Interés: Las decisiones de los bancos centrales sobre tasas afectan directamente la valoración de una divisa.
- Inflación: Medida por el IPC (Índice de Precios al Consumidor). Una alta inflación puede depreciar una divisa.
4.2.3. Eventos Geopolíticos
Eventos como elecciones, conflictos y políticas gubernamentales pueden tener un impacto significativo en las divisas.
4.2.4. Cómo las Noticias y Eventos Económicos Afectan el Forex
Los anuncios económicos, como los reportes de empleo y las declaraciones de los bancos centrales, pueden causar volatilidad en el mercado Forex.
Ejemplo práctico: Analiza cómo un cambio en la tasa de interés del Banco Central Europeo afectó al par EUR/USD.
Ejercicio: Elabora un calendario económico y sigue los anuncios importantes, registrando sus impactos en los pares de divisas relevantes.
4.3. Análisis de Sentimiento
El análisis de sentimiento mide las actitudes y emociones de los inversores. Herramientas como el índice de sentimiento del mercado pueden indicar si los traders son alcistas o bajistas.
Ejemplo práctico: Utiliza un indicador de sentimiento para evaluar el estado del mercado antes de tomar una decisión de trading.
Ejercicio: Revisa el índice de sentimiento del mercado para diferentes pares de divisas y analiza cómo podría influir en tus decisiones de trading.
Capítulo 5: Estrategias de Trading en Forex
5.1. Estrategias de Scalping
El scalping es una estrategia de trading que busca aprovechar pequeños movimientos de precios en el mercado Forex. Los scalpers realizan múltiples operaciones en un solo día, buscando obtener pequeñas ganancias de cada una.
Ejemplo Práctico: Un scalper podría abrir una posición en el par EUR/USD basado en un cruce de medias móviles en un gráfico de 1 minuto. El objetivo sería capturar una pequeña ganancia de 5-10 pips antes de cerrar la posición.
Ejercicio: Practica el scalping en una cuenta demo, identificando oportunidades de entrada y salida en gráficos de 1 y 5 minutos.
5.2. Estrategias de Day Trading
El day trading implica abrir y cerrar todas las posiciones dentro del mismo día de trading. Los day traders no mantienen posiciones durante la noche para evitar el riesgo de movimientos adversos en los precios.
Ejemplo Práctico: Un day trader podría utilizar el análisis técnico para identificar patrones de continuación en un gráfico de 15 minutos y abrir una posición en el par GBP/USD, cerrándola antes del final del día.
Ejercicio: Desarrolla una estrategia de day trading utilizando indicadores técnicos como el RSI y el MACD en gráficos de 15 y 30 minutos.
5.3. Estrategias de Swing Trading
El swing trading busca capturar movimientos de precios más grandes que pueden durar desde unos pocos días hasta varias semanas. Los swing traders analizan gráficos diarios y semanales para identificar tendencias y patrones de reversión.
Ejemplo Práctico: Un swing trader podría identificar un patrón de doble suelo en el gráfico diario del par USD/JPY y abrir una posición larga, manteniéndola hasta que se alcance el objetivo de ganancias en el nivel de resistencia anterior.
Ejercicio: Identifica patrones de reversión en gráficos diarios y semanales, y practica el swing trading en una cuenta demo.
5.4. Estrategias de Trading a Largo Plazo
Las estrategias de trading a largo plazo, o position trading, se basan en análisis fundamental y técnico para mantener posiciones durante meses o incluso años. Los position traders buscan beneficiarse de las tendencias a largo plazo en el mercado Forex.
Ejemplo Práctico: Un position trader podría analizar el entorno macroeconómico global y prever una apreciación a largo plazo del euro frente al dólar estadounidense, abriendo una posición larga en el par EUR/USD y manteniéndola durante varios meses.
Ejercicio: Desarrolla una hipótesis de trading a largo plazo basada en indicadores económicos y practica abriendo y gestionando posiciones en una cuenta demo.
5.5. Gestión de Riesgos y Dinero
5.5.1. Tamaño de Posición
Determinar el tamaño de la posición es crucial para gestionar el riesgo. Un trader debe calcular el tamaño de su posición en función del porcentaje de su capital que está dispuesto a arriesgar en cada operación.
Ejemplo Práctico: Si un trader tiene un capital de 10.000$ y está dispuesto a arriesgar el 2% en una operación, determinará el tamaño de la posición en función del stop-loss establecido.
Ejercicio: Calcula el tamaño de la posición para diferentes pares de divisas y niveles de stop-loss utilizando una cuenta demo.
5.5.2. Stop-Loss
El stop-loss es una herramienta que cierra automáticamente una posición cuando el precio alcanza un nivel predeterminado, limitando las pérdidas.
Ejemplo Práctico: Un trader podría establecer un stop-loss 20 pips por debajo del precio de entrada en una posición larga en el par EUR/USD.
Ejercicio: Practica colocando y ajustando órdenes de stop-loss en diferentes escenarios de mercado.
5.5.3. Take-Profit
El take-profit es una orden que cierra automáticamente una posición cuando el precio alcanza un nivel predeterminado de ganancias.
Ejemplo Práctico: Un trader podría establecer un take-profit 50 pips por encima del precio de entrada en una posición larga en el par GBP/USD.
Ejercicio: Practica colocando y ajustando órdenes de take-profit en diferentes escenarios de mercado.
5.5.4. Plan de Gestión de Riesgos Personalizado
Un plan de gestión de riesgos personalizado ayuda a los traders a definir y seguir sus propias reglas de gestión de riesgos y dinero, adaptadas a su estilo de trading y tolerancia al riesgo.
Ejemplo Práctico: Un trader podría crear un plan que incluya reglas para el tamaño de la posición, niveles de stop-loss y take-profit, y límites de riesgo diarios y semanales.
Ejercicio: Elabora tu propio plan de gestión de riesgos y practícalo en una cuenta demo.
Capítulo 6: Plataformas y Herramientas de Trading
6.1. Principales Plataformas de Trading
MetaTrader 4 (MT4)
MetaTrader 4 es una de las plataformas de trading más populares y ampliamente utilizadas en el mundo del Forex. Ofrece una amplia gama de herramientas de análisis técnico, gráficos personalizables y la capacidad de utilizar Expert Advisors (EA) para el trading automatizado.
- Ejemplo Práctico: Un trader puede abrir una cuenta demo en MetaTrader 4 y familiarizarse con la interfaz, aprendiendo a colocar órdenes, utilizar indicadores técnicos como el RSI y las medias móviles, y configurar un EA para realizar operaciones automatizadas.
MetaTrader 5 (MT5)
MetaTrader 5 es la versión más avanzada de MT4, con mejoras en la velocidad de ejecución, más marcos temporales y tipos de órdenes adicionales. También permite el trading de diferentes mercados financieros, no solo Forex.
- Ejemplo Práctico: Un trader puede utilizar MetaTrader 5 para realizar un análisis multi-activo, creando gráficos con indicadores técnicos avanzados y explorando las capacidades de trading automatizado con los nuevos tipos de órdenes.
cTrader
cTrader es otra plataforma popular conocida por su interfaz intuitiva y sus avanzadas capacidades de gráficos y análisis. Ofrece una ejecución de órdenes rápida y precisa, y es especialmente apreciada por los traders que prefieren un entorno de trading más visual y amigable.
- Ejemplo Práctico: Un trader puede abrir una cuenta demo en cTrader y practicar la colocación de órdenes de mercado y límite, así como la personalización de gráficos con diferentes indicadores y herramientas de análisis.
TradingView
TradingView es una plataforma de análisis y gráficos en línea que se destaca por su interfaz amigable y sus potentes herramientas de análisis. Es muy popular entre traders de diferentes mercados debido a su comunidad activa y sus funciones de red social que permiten compartir ideas y análisis.
- Ejemplo Práctico: Un trader puede utilizar TradingView para crear gráficos detallados con múltiples indicadores técnicos y compartir su análisis con otros traders en la plataforma.
NinjaTrader
NinjaTrader es una plataforma avanzada de trading y análisis que ofrece herramientas sofisticadas para el trading de futuros, Forex y acciones. Es conocida por sus capacidades de backtesting y su amplia gama de indicadores técnicos y estrategias automatizadas.
- Ejemplo Práctico: Un trader puede usar NinjaTrader para realizar backtesting de una estrategia de trading y ajustar los parámetros en función de los resultados obtenidos.
ProRealTime
ProRealTime es una plataforma de gráficos y trading en línea que ofrece herramientas avanzadas de análisis técnico, datos de mercado en tiempo real y una interfaz altamente personalizable. Es especialmente popular en Europa y ofrece una amplia gama de indicadores y herramientas de trading automatizado.
- Ejemplo Práctico: Un trader puede utilizar ProRealTime para analizar el mercado con gráficos avanzados y configurar estrategias automatizadas para ejecutar operaciones basadas en patrones de gráficos.
6.2. Características Clave de una Buena Plataforma de Trading
Al elegir una plataforma de trading, es importante considerar las siguientes características clave:
- Interfaz amigable: La plataforma debe ser fácil de usar y navegar, permitiendo a los traders realizar operaciones de manera eficiente.
- Herramientas de análisis técnico: La disponibilidad de una amplia gama de indicadores técnicos y herramientas de análisis gráfico es esencial.
- Ejemplo Práctico: Comparar las interfaces de MT4 y cTrader, observando cómo se colocan las órdenes y se utilizan los indicadores técnicos.
- Ejercicio: Configurar un gráfico en MT4 con varios indicadores técnicos y practicar la colocación de órdenes de compra y venta.
- Capacidades de trading automatizado: La capacidad de utilizar robots de trading y crear estrategias automatizadas es una característica crucial para muchos traders.
- Ejemplo Práctico: Configurar un Expert Advisor en MT4 para ejecutar operaciones basadas en una estrategia de cruce de medias móviles.
- Ejecución rápida de órdenes: La velocidad y precisión en la ejecución de órdenes pueden marcar la diferencia en el éxito del trading.
- Ejemplo Práctico: Realizar pruebas de velocidad de ejecución en una cuenta demo en MT5 y cTrader.
6.3. Herramientas Adicionales
Calendarios Económicos
Un calendario económico es una herramienta esencial para los traders de Forex, ya que proporciona información sobre próximos eventos económicos y anuncios importantes que pueden afectar a los mercados financieros.
- Ejemplo Práctico: Utilizar un calendario económico para planificar las operaciones en torno a eventos como anuncios de tasas de interés y datos de empleo.
Herramientas de Análisis
Las herramientas de análisis incluyen gráficos avanzados, indicadores técnicos, y software de análisis fundamental y técnico.
- Ejemplo Práctico: Configurar gráficos con indicadores técnicos como el MACD y el RSI en MT4 y practicar la interpretación de estas señales.
6.3.1. Robots de Trading (Expert Advisors)
Los robots de trading, o Expert Advisors (EA), son programas que ejecutan operaciones automáticamente según parámetros predefinidos. Los EAs pueden ayudar a los traders a ejecutar estrategias complejas sin intervención manual.
- Ejemplo Práctico: Crear un EA en MetaTrader 4 que ejecute operaciones basadas en un cruce de medias móviles.
6.3.2. Señales de Trading
Las señales de trading son alertas generadas por análisis técnicos o fundamentales que indican oportunidades de compra o venta en el mercado Forex.
- Ejemplo Práctico: Suscribirse a un servicio de señales de trading y practicar la ejecución de operaciones basadas en estas señales en una cuenta demo.
Ejercicio 1: Abre una cuenta demo en MT4, cTrader y TradingView. Coloca una orden de mercado y una orden límite en cada plataforma, y personaliza un gráfico con indicadores técnicos básicos.
Ejercicio 2: Utiliza un calendario económico para identificar al menos tres eventos importantes que puedan afectar al par EUR/USD en la próxima semana. Planifica tus operaciones en torno a estos eventos.
Ejercicio 3: Configura un Expert Advisor en MT4 que ejecute operaciones basadas en un cruce de medias móviles. Prueba el EA en una cuenta demo y analiza los resultados.
Ejercicio 4: Suscríbete a un servicio de señales de trading gratuito y ejecuta al menos tres operaciones basadas en estas señales en una cuenta demo. Evalúa la efectividad de las señales y ajusta tus estrategias en consecuencia.
Ejercicio 5: Utiliza TradingView para identificar al menos tres oportunidades de trading basadas en análisis técnico. Compártelas con la comunidad de TradingView y evalúa los comentarios y sugerencias recibidos.
Ejercicio 6: Configura una estrategia automatizada en NinjaTrader y realiza un backtesting de la misma. Ajusta los parámetros según los resultados obtenidos y repite el proceso para optimizar la estrategia.
Ejercicio 7: Suscríbete a un servicio de datos en tiempo real en ProRealTime y configura gráficos con indicadores técnicos avanzados. Practica la ejecución de órdenes basadas en estos análisis en una cuenta demo.
Capítulo 7: Automatización del Trading
7.1. Concepto de Automatización del Trading
La automatización del trading, también conocida como trading algorítmico, es el uso de programas informáticos y algoritmos para ejecutar órdenes de compra y venta en el mercado Forex de manera automática. Estos sistemas pueden analizar múltiples variables de mercado en tiempo real y ejecutar operaciones basadas en reglas predefinidas, sin intervención humana directa.
Ejemplo Práctico: Imagina que has desarrollado una estrategia de trading basada en el cruce de medias móviles. Una media móvil rápida (de 50 periodos) cruza una media móvil lenta (de 200 periodos). Cuando la media móvil rápida cruza por encima de la lenta, compras. Cuando cruza por debajo, vendes. Un sistema de trading automatizado puede ejecutar esta estrategia de manera precisa y rápida, eliminando el factor emocional y humano de la ecuación.
Ejercicio:
- Identifica una estrategia simple que desees automatizar.
- Escribe las reglas básicas de esta estrategia.
- Piensa en cómo un programa informático podría ejecutar estas reglas sin tu intervención.
7.2. Herramientas para Crear Sistemas de Trading Algorítmico
Para implementar y automatizar tus estrategias de trading, necesitas herramientas adecuadas que te permitan programar y ejecutar tus algoritmos de trading. A continuación, se presentan algunas de las herramientas más comunes:
MetaTrader (MT4 y MT5)
MetaTrader es una de las plataformas más populares para el trading algorítmico. Utiliza un lenguaje de programación propio llamado MQL (MetaQuotes Language), que permite a los traders crear Expert Advisors (EAs) y scripts para automatizar sus estrategias.
- Ejemplo Práctico: Puedes escribir un EA en MQL4 que ejecute la estrategia de cruce de medias móviles mencionada anteriormente.
mql
// Ejemplo básico de un Expert Advisor en MQL4
int fastMA = iMA(NULL, 0, 50, 0, MODE_SMA, PRICE_CLOSE, 0);
int slowMA = iMA(NULL, 0, 200, 0, MODE_SMA, PRICE_CLOSE, 0);
if (fastMA > slowMA) {
OrderSend(Symbol(), OP_BUY, 0.1, Ask, 3, 0, 0, «», 0, 0, Blue);
} else if (fastMA < slowMA) {
OrderSend(Symbol(), OP_SELL, 0.1, Bid, 3, 0, 0, «», 0, 0, Red);
}
TradingView
TradingView es una plataforma de análisis y trading que permite el uso de Pine Script, un lenguaje de programación específico para crear estrategias y estudios personalizados.
- Ejemplo Práctico: Utilizando Pine Script, puedes programar una estrategia de trading simple y probarla en los gráficos interactivos de TradingView.
pinescript
// Estrategia de cruce de medias móviles en Pine Script
strategy(«Simple MA Cross», overlay=true)
fastMA = sma(close, 50)
slowMA = sma(close, 200)
plot(fastMA, color=color.blue)
plot(slowMA, color=color.red)
longCondition = crossover(fastMA, slowMA)
if (longCondition)
strategy.entry(«Long», strategy.long)
shortCondition = crossunder(fastMA, slowMA)
if (shortCondition)
strategy.entry(«Short», strategy.short)
NinjaTrader
NinjaTrader es otra plataforma potente que permite la creación de estrategias automatizadas mediante su propio entorno de desarrollo, NinjaScript, basado en C#.
- Ejemplo Práctico: Un trader puede desarrollar y probar estrategias de trading complejas utilizando NinjaScript en NinjaTrader, aprovechando sus capacidades avanzadas de backtesting y optimización.
csharp
// Ejemplo básico de una estrategia en NinjaScript
protected override void OnBarUpdate()
{
if (CrossAbove(SMA(50), SMA(200), 1))
EnterLong();
else if (CrossBelow(SMA(50), SMA(200), 1))
EnterShort();
}
Ejercicio 1:
- Selecciona una plataforma de trading (MT4, TradingView, o NinjaTrader).
- Escribe un pequeño script que implemente una estrategia de cruce de medias móviles.
- Prueba el script en una cuenta demo y observa los resultados.
Ejercicio 2:
- Investiga otros indicadores técnicos que podrías incluir en tu estrategia automatizada.
- Modifica tu script para incluir al menos un indicador adicional y observa cómo cambia el rendimiento de la estrategia.
Ejercicio 3:
- Configura un entorno de backtesting en la plataforma elegida.
- Realiza backtesting de tu estrategia con datos históricos.
- Analiza los resultados y ajusta los parámetros para optimizar el rendimiento.
Capítulo 8: Psicología del Trading
8.1. Importancia de la Psicología en el Trading
La psicología del trading es un aspecto crítico que a menudo se pasa por alto en los mercados financieros. La capacidad de un trader para gestionar sus emociones y mantener una mentalidad equilibrada puede ser tan importante como su habilidad técnica. Sin una psicología adecuada, incluso la estrategia más sólida puede fallar debido a decisiones impulsivas.
Ejemplo Práctico: Considera a dos traders con la misma estrategia ganadora. El primer trader sigue la estrategia sin desviarse, mientras que el segundo toma decisiones impulsivas basadas en el miedo y la avaricia. A pesar de tener la misma estrategia, sus resultados serán muy diferentes debido a su manejo de la psicología.
8.2. Cómo Manejar las Emociones (Miedo, Avaricia, Estrés)
Las emociones como el miedo, la avaricia y el estrés pueden afectar significativamente las decisiones de trading. Aprender a manejarlas es crucial para el éxito a largo plazo.
Miedo: Puede llevar a los traders a cerrar posiciones demasiado pronto o evitar tomar riesgos calculados.
Avaricia: Puede hacer que los traders mantengan posiciones demasiado tiempo, esperando más ganancias y arriesgándose a revertir sus ganancias.
Estrés: Puede resultar en decisiones precipitadas y una falta de juicio claro.
8.2.1. Ejercicios Prácticos y Técnicas de Mindfulness
Ejercicios de Respiración: Practicar respiración profunda puede ayudar a calmar la mente antes de tomar decisiones de trading.
Meditación: La meditación regular puede aumentar la claridad mental y reducir el estrés.
Journaling: Mantener un diario de trading donde se anoten las emociones y pensamientos durante las operaciones puede ayudar a identificar patrones y áreas de mejora.
Ejemplo Práctico: Antes de abrir una operación, un trader puede realizar una breve sesión de respiración profunda para asegurarse de que está tomando una decisión basada en la lógica y no en la emoción.
8.3. Desarrollo de una Mentalidad de Trading Disciplinada
La disciplina es esencial en el trading. Significa seguir un plan de trading definido y no desviarse de él debido a emociones o impulsos momentáneos.
Ejercicio Práctico: Desarrolla un conjunto de reglas claras para tu trading y comprométete a seguirlas. Esto puede incluir límites de pérdidas, objetivos de ganancias y criterios para entrar y salir de las operaciones.

8.4. Importancia de Seguir un Plan de Trading
Un plan de trading bien definido es el pilar de un trading exitoso. Ayuda a los traders a mantener la disciplina y evitar decisiones emocionales.
Elementos de un Plan de Trading:
- Estrategias de entrada y salida
- Gestión de riesgos y tamaño de posición
- Horarios de trading
- Reglas para ajustar o abandonar estrategias
Ejercicio Práctico: Crea un plan de trading detallado que incluya todos los elementos mencionados. Revisa y ajusta este plan regularmente según sea necesario, pero solo fuera del horario de trading para evitar decisiones impulsivas.
Ejercicio 1:
- Realiza una breve sesión de meditación antes de tu próxima sesión de trading.
- Anota en tu diario de trading cómo te sentiste antes y después de la meditación.
Ejercicio 2:
- Define las reglas claras de tu plan de trading.
- Practica seguir estas reglas durante una semana y registra cualquier desviación en tu diario.
Ejercicio 3:
- Identifica tus principales emociones durante el trading (miedo, avaricia, estrés).
- Investiga y aplica una técnica de mindfulness para gestionar cada una de estas emociones.
Capítulo 9: Educación Financiera
9.1. Conceptos Básicos de Finanzas
En este capítulo, abordaremos algunos de los conceptos financieros fundamentales que todo trader principiante debe entender. Estos conceptos no solo son cruciales para operar en Forex, sino que también son aplicables a la gestión de las finanzas personales y a la inversión en general.
9.1.1. Interés Compuesto
El interés compuesto es un concepto financiero que se refiere a la capacidad de un activo de generar ingresos sobre los ingresos generados previamente. Es uno de los principios más poderosos en finanzas, ya que permite que el dinero crezca a un ritmo acelerado a lo largo del tiempo.
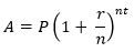
Definición: El interés compuesto se calcula no solo sobre el capital inicial, sino también sobre los intereses acumulados de períodos anteriores. Esto se puede expresar con la fórmula:

donde:
- A es el monto final del capital.
- P es el capital inicial.
- r es la tasa de interés anual.
- n es el número de veces que se capitaliza el interés por año.
- t es el tiempo en años.
Ejemplo Práctico: Imagina que inviertes 1.000€ a una tasa de interés anual del 5%, capitalizado anualmente durante 5 años. Usando la fórmula anterior:

Después de 5 años, tu inversión habría crecido a 1.276,3€ gracias al interés compuesto.
Ejercicio:
- Calcula cuánto crecería una inversión de 500€ a una tasa del 6%, capitalizada trimestralmente, durante 3 años.
- Calcula cuánto tiempo tardaría una inversión de 1.000€ en duplicarse a una tasa de interés compuesto del 8% anual.
9.1.2. Riesgo y Rentabilidad
El riesgo y la rentabilidad son dos conceptos fundamentales que están intrínsecamente ligados en el mundo de las finanzas y las inversiones. En términos generales, a mayor riesgo, mayor potencial de rentabilidad y viceversa.
Riesgo: El riesgo se refiere a la probabilidad de que una inversión no genere los resultados esperados y, en el peor de los casos, resulte en una pérdida de capital. En Forex, el riesgo puede surgir de varios factores, como la volatilidad del mercado, eventos geopolíticos, cambios en las políticas económicas, entre otros.
Rentabilidad: La rentabilidad es la ganancia que se obtiene de una inversión. Puede medirse en términos absolutos (dólares o euros ganados) o en términos relativos (porcentaje de retorno sobre la inversión inicial).
Ejemplo Práctico: Imagina que decides invertir en dos activos diferentes:
- Activo A: Tiene un retorno esperado del 5% anual con bajo riesgo.
- Activo B: Tiene un retorno esperado del 15% anual, pero con un riesgo mucho mayor.
Si inviertes 1.000€ en cada uno, podrías esperar 50€ de retorno con el Activo A y 150€ con el Activo B. Sin embargo, con el Activo B, existe una mayor probabilidad de pérdida.
Ejercicio:
- Identifica dos activos diferentes con niveles de riesgo y rentabilidad distintos. Calcula el retorno esperado de una inversión de 1.000€ en cada uno.
- Reflexiona sobre tu tolerancia al riesgo y escribe una breve descripción de qué tipo de activos se ajustan mejor a tu perfil como inversor.
Conclusión
Entender los conceptos de interés compuesto, riesgo y rentabilidad es crucial para cualquier trader principiante. Estos conceptos no solo te ayudarán a tomar decisiones más informadas en el mercado Forex, sino que también te proporcionarán una base sólida para cualquier tipo de inversión.
Ejercicios Finales
- Calcula el interés compuesto para una inversión inicial de 2.000€ a una tasa del 4%, capitalizada semestralmente, durante 6 años.
- Analiza dos escenarios de inversión con diferentes niveles de riesgo y rentabilidad. Decide en cuál invertirías y por qué, basándote en tu perfil de riesgo.
- Realiza una simulación de trading en Forex considerando diferentes niveles de apalancamiento. Reflexiona sobre cómo el riesgo y la rentabilidad cambian con el apalancamiento.
Capítulo 10: Practicando el Trading de Forex
En este capítulo, nos enfocaremos en la práctica del trading de Forex, destacando la importancia de las cuentas demo, cómo elegir un broker adecuado, comenzar a operar en una cuenta real y la evaluación y ajuste de estrategias.
10.1. La Importancia de las Cuentas Demo
Las cuentas demo son una herramienta esencial para los principiantes en el trading de Forex. Ofrecen la oportunidad de practicar sin arriesgar dinero real, permitiendo a los traders familiarizarse con las plataformas de trading y probar estrategias en un entorno libre de riesgos.
Ejemplo Práctico: Imagina que abres una cuenta demo con 10.000€ de dinero virtual. Puedes practicar la compra y venta de pares de divisas, analizar gráficos y utilizar diferentes indicadores técnicos sin la presión de perder dinero real.
Ventajas de las cuentas demo:
- Sin riesgo financiero: Permiten practicar y aprender sin poner en riesgo tu capital.
- Familiarización con la plataforma: Ayudan a conocer la interfaz y las herramientas de la plataforma de trading.
- Prueba de estrategias: Posibilitan la experimentación con diferentes estrategias de trading.
Ejercicio:
- Abre una cuenta demo con un broker de tu elección.
- Realiza al menos cinco operaciones utilizando diferentes estrategias.
- Anota tus resultados y reflexiona sobre lo que aprendiste.
10.2. Cómo Elegir un Broker Adecuado
Elegir el broker adecuado es crucial para el éxito en el trading de Forex. Un buen broker debe ofrecer seguridad, plataformas eficientes, bajas comisiones y un buen servicio al cliente.
Factores a considerar:
- Regulación: Verifica que el broker esté regulado por una autoridad financiera reconocida.
- Comisiones y spreads: Compara las comisiones y spreads de diferentes brokers.
- Plataforma de trading: Asegúrate de que la plataforma sea intuitiva y ofrezca las herramientas necesarias.
- Apalancamiento: Considera el apalancamiento que ofrece y cómo se adapta a tu estrategia de trading.
- Soporte al cliente: Asegúrate de que el broker ofrezca un buen soporte al cliente, disponible en tu idioma.
Ejemplo Práctico: Investiga y compara tres brokers diferentes. Evalúa sus regulaciones, comisiones, plataformas de trading y servicios al cliente.
Ejercicio:
- Haz una lista de tres brokers y compara sus características clave.
- Elige el broker que mejor se adapte a tus necesidades y abre una cuenta demo.
10.3. Cómo Empezar a Operar en una Cuenta Real
Una vez que te sientas cómodo operando en una cuenta demo, es hora de pasar a una cuenta real. Es importante hacerlo de manera gradual y con una estrategia bien definida.
Pasos para comenzar a operar en una cuenta real:
- Depósito inicial: Realiza un depósito inicial que te sientas cómodo arriesgando.
- Empieza pequeño: Comienza con operaciones pequeñas para minimizar el riesgo.
- Aplica lo aprendido: Utiliza las estrategias que has probado en la cuenta demo.
- Gestiona el riesgo: Usa stop-loss y take-profit para gestionar el riesgo en cada operación.
Ejemplo Práctico: Si tu depósito inicial es de 1.000€, podrías empezar con operaciones de 100€ para cada operación, utilizando un stop-loss del 2%.
Ejercicio:
- Abre una cuenta real con el broker que elegiste.
- Realiza al menos tres operaciones pequeñas utilizando tu estrategia de trading.
- Evalúa los resultados y ajusta tu estrategia si es necesario.
10.4. Evaluación y Ajuste de Estrategias
La evaluación continua y el ajuste de estrategias son esenciales para el éxito a largo plazo en el trading de Forex. Debes revisar regularmente tus operaciones, analizar tus errores y ajustar tus estrategias en consecuencia.
Pasos para evaluar y ajustar estrategias:
- Revisión de operaciones: Revisa tus operaciones pasadas y analiza los resultados.
- Identificación de errores: Identifica los errores comunes y las áreas de mejora.
- Ajuste de estrategias: Ajusta tus estrategias basándote en tus análisis.
- Seguimiento del rendimiento: Lleva un registro de tu rendimiento y ajusta continuamente tus estrategias.
Ejemplo Práctico: Si notas que estás perdiendo más en operaciones durante noticias económicas, podrías ajustar tu estrategia para evitar operar durante estos eventos.
Ejercicio:
- Revisa tus operaciones de las últimas dos semanas.
- Identifica patrones o errores comunes.
- Ajusta tu estrategia y realiza una operación utilizando los nuevos ajustes.
Conclusión
Practicar el trading de Forex utilizando cuentas demo, elegir un broker adecuado, empezar a operar en una cuenta real de manera gradual y evaluar y ajustar continuamente tus estrategias son pasos fundamentales para convertirse en un trader exitoso. Con ejemplos prácticos y ejercicios, esperamos que puedas aplicar estos conocimientos en el mercado real y mejorar tu rendimiento en el trading de Forex.
Capítulo 11: Recursos y Formación Adicional
En este capítulo, te proporcionaremos una lista de recursos y opciones de formación adicionales para profundizar en tus conocimientos sobre el trading en Forex. Esta guía incluye libros recomendados, cursos y seminarios online, foros y comunidades de traders, y blogs y sitios web útiles.
11.1. Libros Recomendados sobre Trading en Forex
Leer libros escritos por expertos es una excelente manera de adquirir conocimientos profundos sobre el trading en Forex. Aquí te presentamos algunos libros esenciales:
- «Trading en la Zona» de Mark Douglas
- Este libro aborda la psicología del trading, ayudando a los traders a desarrollar la mentalidad adecuada para operar en los mercados.
- «El Nuevo Vivir del Trading» de Alexander Elder
- Un clásico que cubre tanto los aspectos técnicos como psicológicos del trading, ofreciendo estrategias y consejos prácticos.
- «Forex for Beginners» de Anna Coulling
- Una guía detallada para principiantes que explica los fundamentos del mercado Forex y ofrece técnicas básicas de trading.



Ejercicio:
- Elige uno de los libros mencionados y lee al menos un capítulo por semana. Anota las lecciones aprendidas y cómo puedes aplicarlas en tu trading.
11.2. Cursos y Seminarios Online
Participar en cursos y seminarios online te permite aprender de manera estructurada y recibir orientación de expertos. Aquí algunos recursos recomendados:
- Coursera
- Ofrece cursos de universidades reconocidas que cubren desde los fundamentos hasta estrategias avanzadas de trading.
- Babypips.com
- Conocido por su «School of Pipsology», un curso gratuito en línea que abarca desde los conceptos básicos hasta estrategias avanzadas de Forex.
- Investopedia Academy
- Ofrece cursos pagados sobre trading en Forex, incluyendo análisis técnico y estrategias de trading.
Ejercicio:
- Inscríbete en un curso online y completa todos los módulos. Realiza los ejercicios prácticos que se ofrecen y evalúa tu progreso.
11.3. Foros y Comunidades de Traders
Unirse a foros y comunidades de traders te permite compartir experiencias, aprender de otros y obtener apoyo. Aquí algunas comunidades populares:
- Foro de Rankia
- Una comunidad en español donde los traders pueden discutir estrategias, compartir análisis y obtener consejos.
- ForexFactory
- Uno de los foros más grandes y activos, con secciones dedicadas a diferentes estrategias y análisis de mercado.
- Reddit – r/Forex
- Una comunidad donde los traders comparten noticias, análisis y estrategias de Forex.
Ejercicio:
- Únete a uno de estos foros y participa activamente en las discusiones. Publica tus preguntas y comparte tus experiencias para recibir retroalimentación.
11.4. Blogs y Sitios Web Útiles para Traders de Forex
Seguir blogs y sitios web especializados te mantiene actualizado con las últimas tendencias, noticias y análisis del mercado Forex. Aquí algunos recomendados:
- DailyFX
- Ofrece análisis de mercado, noticias y artículos educativos sobre Forex.
- ForexLive
- Proporciona noticias en tiempo real y análisis sobre el mercado Forex.
- TradingView
- Una plataforma de análisis técnico con gráficos interactivos y una comunidad activa de traders.
Ejercicio:
- Elige uno de los blogs o sitios web mencionados y léelo diariamente durante una semana. Anota las noticias y análisis más relevantes y reflexiona sobre cómo podrían afectar tus operaciones.
Conclusión
Este capítulo ha proporcionado una variedad de recursos y opciones de formación para ayudarte a mejorar tus habilidades en el trading de Forex. Desde libros y cursos hasta foros y blogs, estos recursos te ofrecen la oportunidad de aprender de los mejores y de la comunidad de traders. Recuerda que la educación continua es clave para el éxito en el trading, y estos recursos te ayudarán a mantenerte actualizado y mejorar tus estrategias de trading.
Capítulo 12: Conclusión
En este capítulo final, resumiremos los puntos clave que hemos tratado a lo largo de la guía, subrayaremos la importancia de la formación continua en el trading y te invitaremos a seguir explorando y aprendiendo sobre el Forex.
12.1. Resumen de puntos clave
A lo largo de esta guía, hemos cubierto los aspectos fundamentales del trading en Forex, proporcionando una base sólida para que los principiantes comiencen su viaje en este mercado. Aquí un resumen de los puntos clave:
- Introducción al Mercado Forex: Entendimos qué es el mercado Forex, su historia, los principales participantes y su horario de operaciones.
- Conceptos Básicos del Forex: Exploramos los pares de divisas, cotizaciones, pips, lotes, apalancamiento, spreads, comisiones y el concepto de rollover y tasas de interés.
- Funcionamiento del Forex: Aprendimos a abrir y cerrar posiciones, los diferentes tipos de órdenes y la gestión del margen y margin call.
- Análisis de Mercado: Estudiamos el análisis técnico, el análisis fundamental y el análisis de sentimiento.
- Estrategias de Trading en Forex: Vimos diversas estrategias como el scalping, day trading, swing trading y estrategias a largo plazo, además de la gestión de riesgos y dinero.
- Plataformas y Herramientas de Trading: Recorremos las principales plataformas de trading y las herramientas adicionales que pueden utilizarse.
- Automatización del Trading: Introdujimos el concepto de automatización del trading y las herramientas para crear sistemas de trading algorítmico.
- Psicología del Trading: Destacamos la importancia de la psicología en el trading, cómo manejar las emociones y desarrollar una mentalidad disciplinada.
- Educación Financiera: Abordamos conceptos básicos de finanzas, como el interés compuesto y la relación entre riesgo y rentabilidad.
- Practicando el Trading de Forex: Enfatizamos la importancia de las cuentas demo, cómo elegir un broker adecuado y los primeros pasos para operar en una cuenta real.
- Recursos y Formación Adicional: Proporcionamos una lista de libros, cursos, foros, blogs y sitios web útiles para seguir aprendiendo.
12.2. La importancia de la formación continua en el trading
El mundo del trading es dinámico y está en constante evolución. Las estrategias que funcionan hoy pueden no ser efectivas mañana debido a cambios en las condiciones del mercado, avances tecnológicos y nuevos enfoques analíticos. Por esta razón, la formación continua es crucial para cualquier trader que desee mantenerse competitivo y rentable en el largo plazo.
Ejemplo práctico:
- Estudio de casos: Realiza un análisis mensual de tus operaciones pasadas para identificar áreas de mejora y ajusta tus estrategias basándote en nuevos aprendizajes.
12.3. Invitación a seguir explorando y aprendiendo sobre Forex
El conocimiento y la experiencia son las mejores herramientas para tener éxito en el trading. Te animamos a seguir explorando, leyendo, participando en seminarios y cursos, y siendo parte activa de comunidades de traders. El aprendizaje nunca se detiene y cada día ofrece una nueva oportunidad para mejorar tus habilidades y conocimientos.
Ejercicio:
- Plan de desarrollo personal: Crea un plan de desarrollo personal donde incluyas metas de aprendizaje, libros por leer, cursos por tomar y foros en los que participar. Revisa y actualiza este plan regularmente.
Lenguaje claro y conciso: Recuerda que la clave para el éxito en el trading es la aplicación práctica de los conocimientos adquiridos. Asegúrate de comprender bien cada concepto antes de aplicarlo en el mercado real y no dudes en practicar en cuentas demo hasta sentirte cómodo con tus estrategias.
En conclusión, la guía que has seguido es solo el comienzo de tu viaje en el mundo del Forex. Mantén la curiosidad, sigue aprendiendo y siempre busca mejorar. El mercado Forex es desafiante, pero con dedicación y educación continua, puedes convertirte en un trader exitoso. ¡Buena suerte en tu camino!
